🇳🇴 🇬🇧 🇩🇪 🇨🇿 🇫🇮

Meteor, poloha: Malung 2017-04-20 21:29:48 UTC

Soubor KML  |  InteraktivnĂ­ mapa

Mapa zobrazuje dráhy meteoru. Světlejší čáry ukazují směry od pozorovacích stanic při objevení se meteoru a tmavší čáry, kde byl naposledy viděn. Modrá šipka značí viditelnou dráhu meteoru.

static map
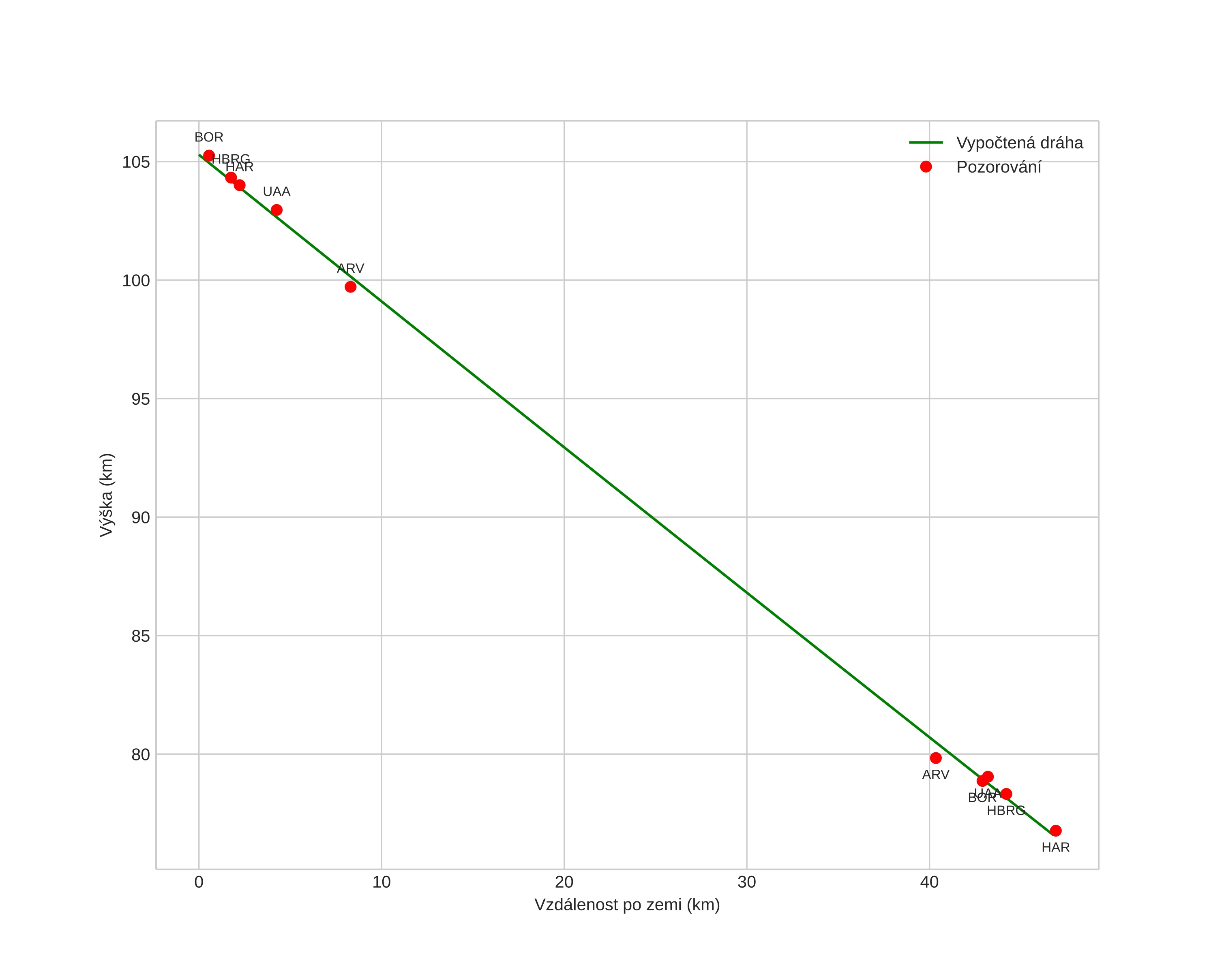
height profile
Atmosférická dráha meteoru:
Počáteční výška: 105,3 km
Konečná výška: 76,6 km
Počáteční poloha: 60,474N 14,594E
Konečná poloha: 60,379N 13,764E
Směr: 257,2°
Sklon: 31,5°
VstupnĂ­ rychlost: 46,5 km/s
Rektascenze radiantu: 18:00 (270,1°)
Deklinace radiantu: 32,6°
MeteorickĂ˝ roj: Lyridy
Elementy dráhy meteoroidu:
Vzdálenost v periheliu: 0,901 AU
Excentricita: 0,836
Sklon dráhy: 77,9°
Délka vzestupného uzlu: 30,7°
Argument perihelia: 219,5°
Střední anomálie: 357,9°
Epocha: 2017 APR 20 21:29:48
orbit plot

NeinteraktivnĂ­ graf | InteraktivnĂ­ graf

position vs time
speed and acceleration