🇳🇴 🇬🇧 🇩🇪 🇨🇿 🇫🇮

Meteor über Malung 2017-04-20 21:29:48 UTC

KML-Datei  |  Interaktive Karte

Die Karte zeigt die Peilungen für den Meteor. Die helleren Linien zeigen die Richtungen von den Beobachtungsorten beim Erscheinen des Meteors, und die dunkleren Linien, wo er zuletzt gesehen wurde. Der blaue Pfeil zeigt die sichtbare Bahn des Meteors.

static map
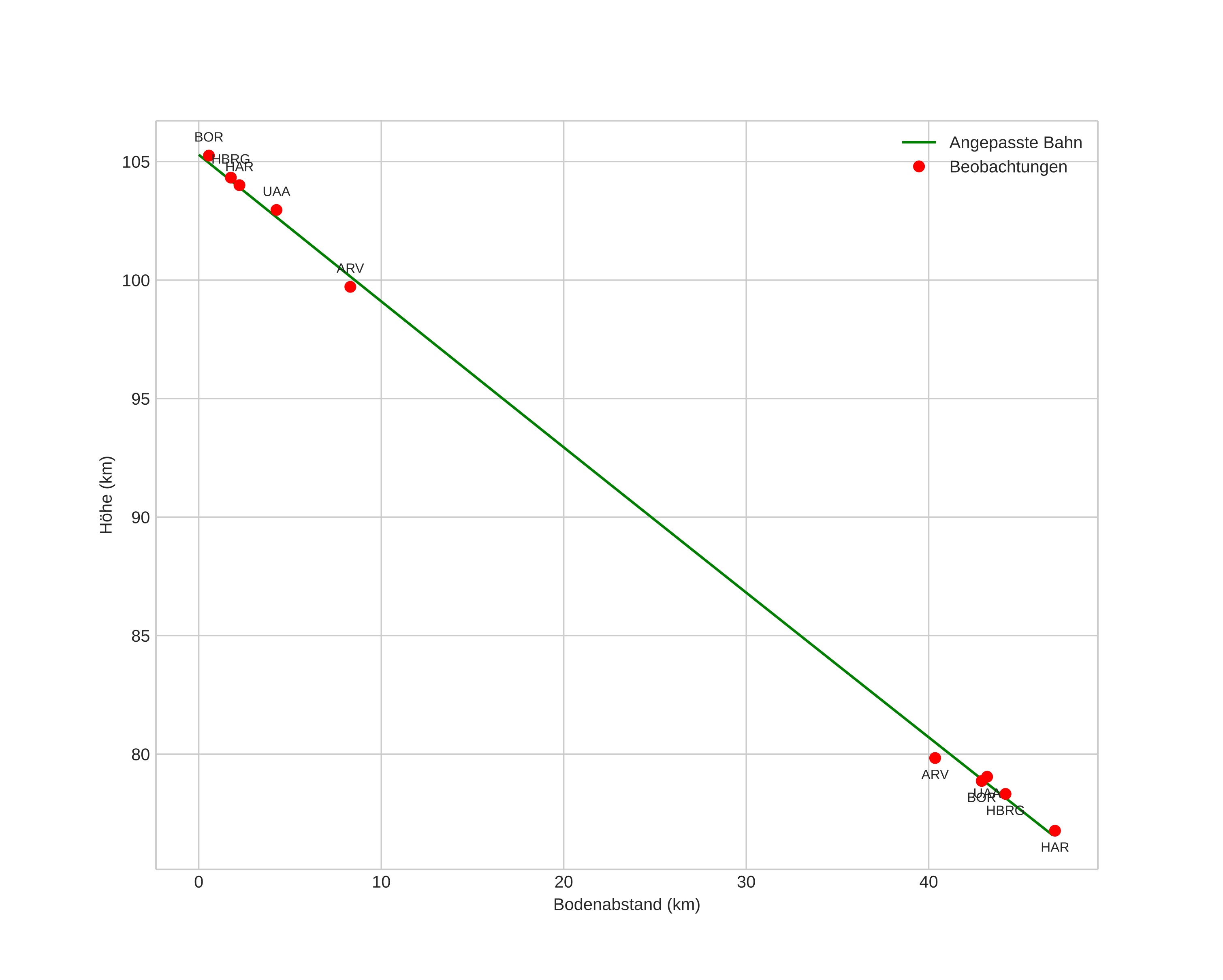
height profile
Atmosphärische Bahn des Meteors:
Anfangshöhe: 105,3 km
Endhöhe: 76,6 km
Startposition: 60,474N 14,594E
Endposition: 60,379N 13,764E
Richtung: 257,2°
Neigungswinkel: 31,5°
Eintrittsgeschwindigkeit: 46,5 km/s
Rektaszension des Radianten: 18:00 (270,1°)
Deklination des Radianten: 32,6°
Meteorstrom: Lyriden
Bahnelemente des Meteoroiden:
Periheldistanz: 0,901 AU
Exzentrizität: 0,836
Inklination: 77,9°
Länge des aufsteigenden Knotens: 30,7°
Argument des Perihels: 219,5°
Mittlere Anomalie: 357,9°
Epoche: 2017 APR 20 21:29:48
orbit plot

Nicht-interaktives Diagramm | Interaktives Diagramm

position vs time
speed and acceleration