🇳🇴 🇬🇧 🇩🇪 🇨🇿 🇫🇮

Meteor Malungin yllä 2017-04-20 21:29:48 UTC

KML-tiedosto  |  Interaktiivinen kartta

Kartta näyttää meteorin suuntahavainnot. Vaaleammat viivat näyttävät suunnat havaintoasemilta meteorin ilmestyessä, ja tummemmat viivat näyttävät, missä se viimeksi nähtiin. Sininen nuoli näyttää meteorin näkyvän lennon.

static map
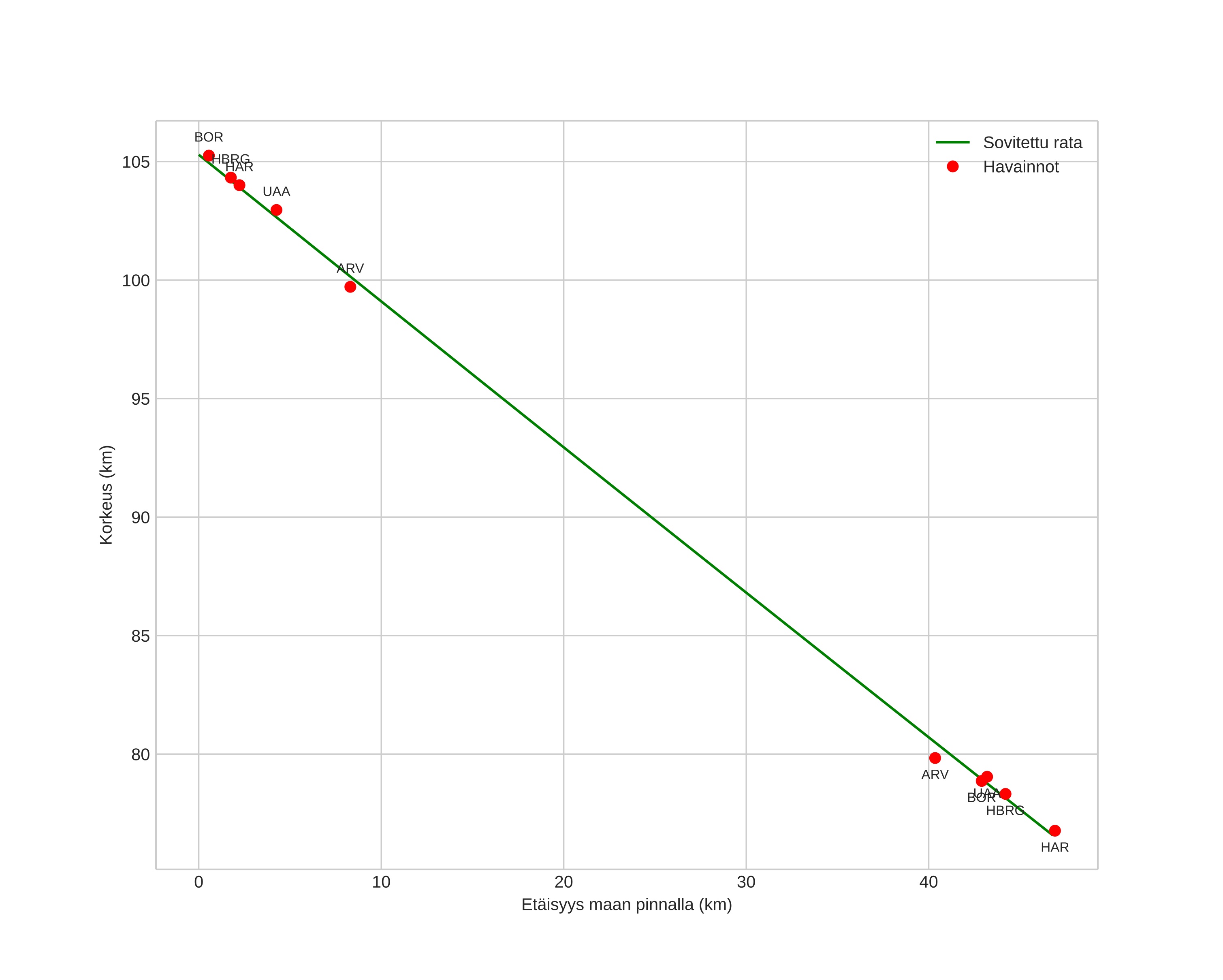
height profile
Meteorin ilmakehärata:
Alkukorkeus: 105,3 km
Loppukorkeus: 76,6 km
Alkupiste: 60,474N 14,594E
Loppupiste: 60,379N 13,764E
Suunta: 257,2°
Kallistuskulma: 31,5°
Tulonopeus: 46,5 km/s
Radiantin R,A,: 18:00 (270,1°)
Radiantin Dekl,: 32,6°
Meteoriparvi: Lyridit
Meteoroidin rataelementit:
Perihelietäisyys: 0,901 AU
Eksentrisyys: 0,836
Inklinaatio: 77,9°
Nousevan solmun pituus: 30,7°
Perihelin argumentti: 219,5°
Keskianomalia: 357,9°
Epookki: 2017 APR 20 21:29:48
orbit plot

Ei-interaktiivinen kuvaaja | Interaktiivinen kuvaaja

position vs time
speed and acceleration