🇳🇴 🇬🇧 🇩🇪 🇨🇿 🇫🇮

Meteor, poloha: Svenstrup 2017-10-18 03:56:09 UTC

Soubor KML  |  InteraktivnĂ­ mapa

Mapa zobrazuje dráhy meteoru. Světlejší čáry ukazují směry od pozorovacích stanic při objevení se meteoru a tmavší čáry, kde byl naposledy viděn. Modrá šipka značí viditelnou dráhu meteoru.

static map
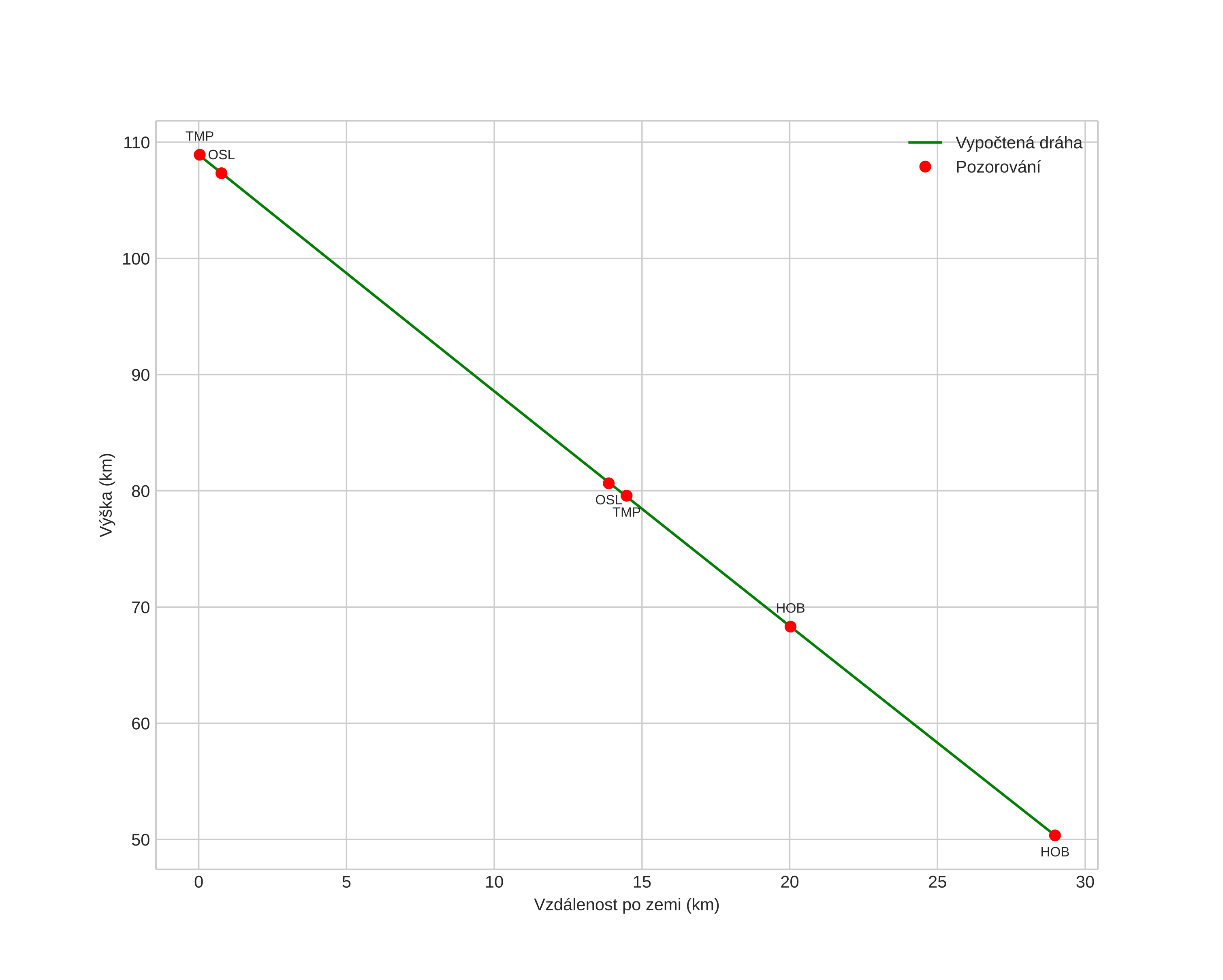
height profile
Atmosférická dráha meteoru:
Počáteční výška: 108,9 km
Konečná výška: 50,4 km
Počáteční poloha: 56,263N 9,966E
Konečná poloha: 56,521N 9,893E
Směr: 351,1°
Sklon: 63,6°
VstupnĂ­ rychlost: 73,0 km/s
Rektascenze radiantu: 06:39 (99,8°)
Deklinace radiantu: 29,8°
MeteorickĂ˝ roj: epsilon-geminidene
Elementy dráhy meteoroidu:
Vzdálenost v periheliu: 0,806 AU
Excentricita: 1,201
Sklon dráhy: 167,8°
Délka vzestupného uzlu: 204,7°
Argument perihelia: 229,5°
Střední anomálie: -3,5°
Epocha: 2017 OCT 18 03:56:09
orbit plot

NeinteraktivnĂ­ graf | InteraktivnĂ­ graf

position vs time
speed and acceleration