🇳🇴 🇬🇧 🇩🇪 🇨🇿 🇫🇮

Meteor Svenstrupin yllä 2017-10-18 03:56:09 UTC

KML-tiedosto  |  Interaktiivinen kartta

Kartta näyttää meteorin suuntahavainnot. Vaaleammat viivat näyttävät suunnat havaintoasemilta meteorin ilmestyessä, ja tummemmat viivat näyttävät, missä se viimeksi nähtiin. Sininen nuoli näyttää meteorin näkyvän lennon.

static map
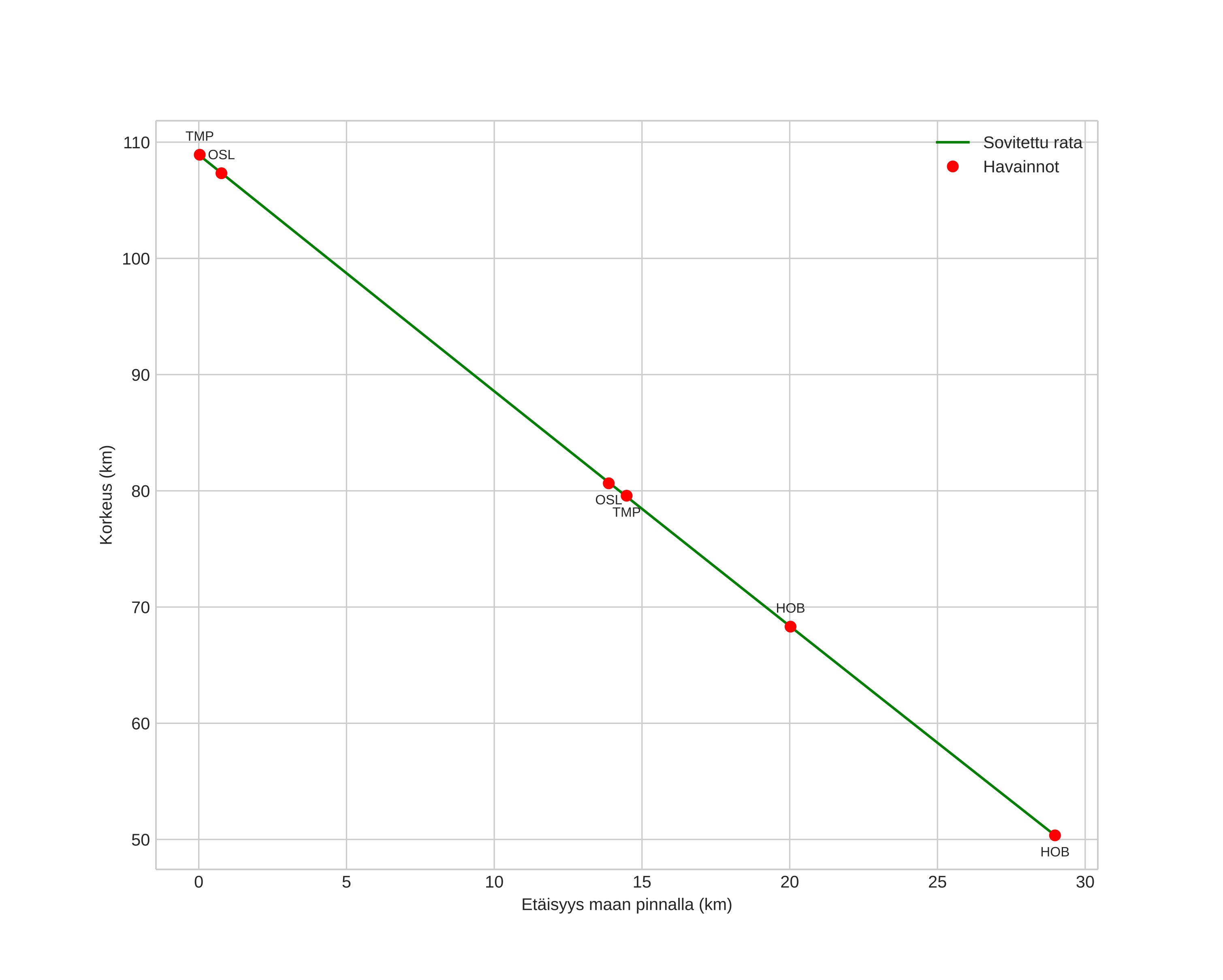
height profile
Meteorin ilmakehärata:
Alkukorkeus: 108,9 km
Loppukorkeus: 50,4 km
Alkupiste: 56,263N 9,966E
Loppupiste: 56,521N 9,893E
Suunta: 351,1°
Kallistuskulma: 63,6°
Tulonopeus: 73,0 km/s
Radiantin R,A,: 06:39 (99,8°)
Radiantin Dekl,: 29,8°
Meteoriparvi: epsilon-geminidene
Meteoroidin rataelementit:
Perihelietäisyys: 0,806 AU
Eksentrisyys: 1,201
Inklinaatio: 167,8°
Nousevan solmun pituus: 204,7°
Perihelin argumentti: 229,5°
Keskianomalia: -3,5°
Epookki: 2017 OCT 18 03:56:09
orbit plot

Ei-interaktiivinen kuvaaja | Interaktiivinen kuvaaja

position vs time
speed and acceleration