🇳🇴 🇬🇧 🇩🇪 🇨🇿 🇫🇮

Meteor über Svenstrup 2017-10-18 03:56:09 UTC

KML-Datei  |  Interaktive Karte

Die Karte zeigt die Peilungen für den Meteor. Die helleren Linien zeigen die Richtungen von den Beobachtungsorten beim Erscheinen des Meteors, und die dunkleren Linien, wo er zuletzt gesehen wurde. Der blaue Pfeil zeigt die sichtbare Bahn des Meteors.

static map
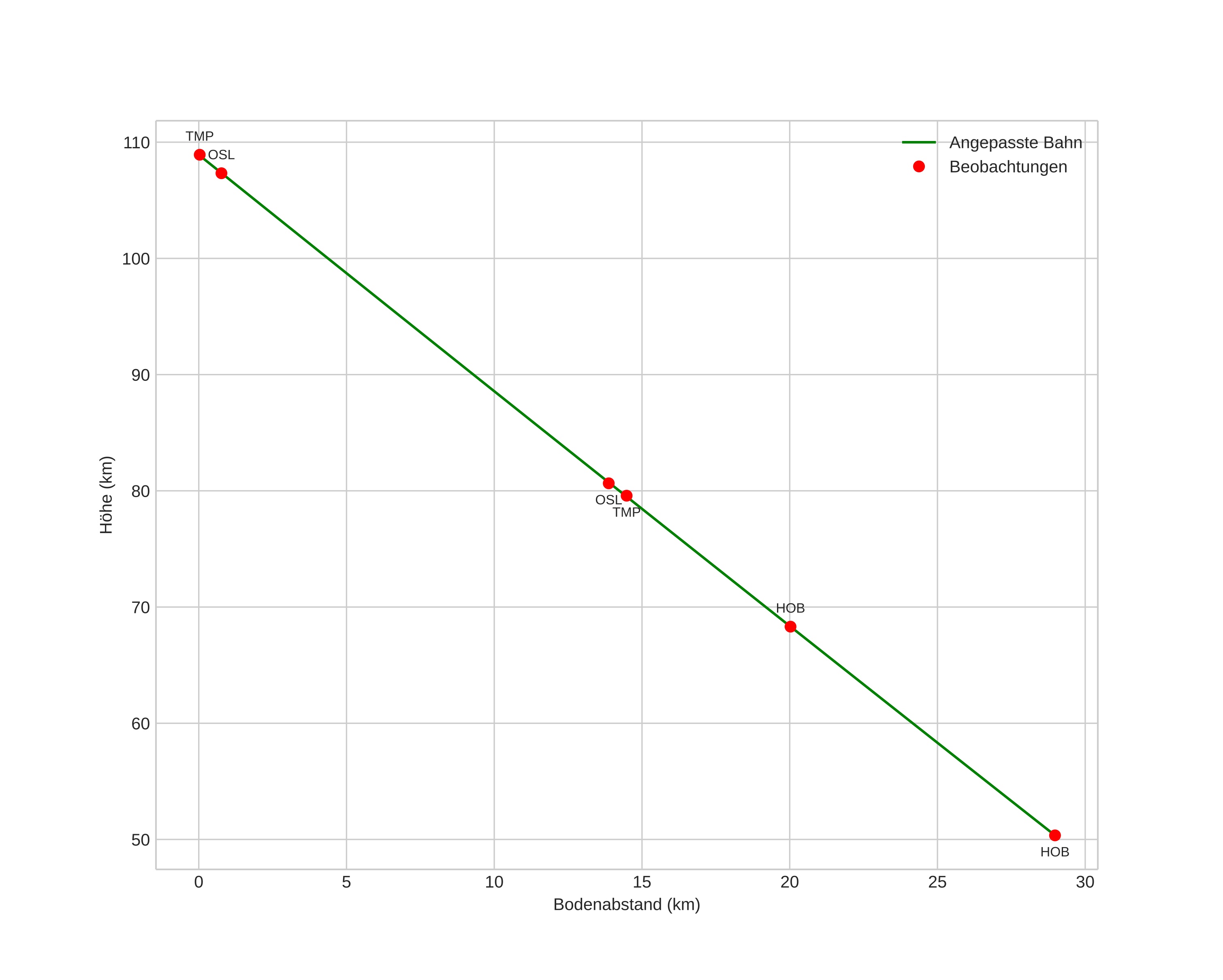
height profile
Atmosphärische Bahn des Meteors:
Anfangshöhe: 108,9 km
Endhöhe: 50,4 km
Startposition: 56,263N 9,966E
Endposition: 56,521N 9,893E
Richtung: 351,1°
Neigungswinkel: 63,6°
Eintrittsgeschwindigkeit: 73,0 km/s
Rektaszension des Radianten: 06:39 (99,8°)
Deklination des Radianten: 29,8°
Meteorstrom: epsilon-geminidene
Bahnelemente des Meteoroiden:
Periheldistanz: 0,806 AU
Exzentrizität: 1,201
Inklination: 167,8°
Länge des aufsteigenden Knotens: 204,7°
Argument des Perihels: 229,5°
Mittlere Anomalie: -3,5°
Epoche: 2017 OCT 18 03:56:09
orbit plot

Nicht-interaktives Diagramm | Interaktives Diagramm

position vs time
speed and acceleration