🇳🇴 🇬🇧 🇩🇪 🇨🇿 🇫🇮

Meteor, poloha: Tingvoll 2017-10-30 04:55:22 UTC

Soubor KML  |  InteraktivnĂ­ mapa

Mapa zobrazuje dráhy meteoru. Světlejší čáry ukazují směry od pozorovacích stanic při objevení se meteoru a tmavší čáry, kde byl naposledy viděn. Modrá šipka značí viditelnou dráhu meteoru.

static map
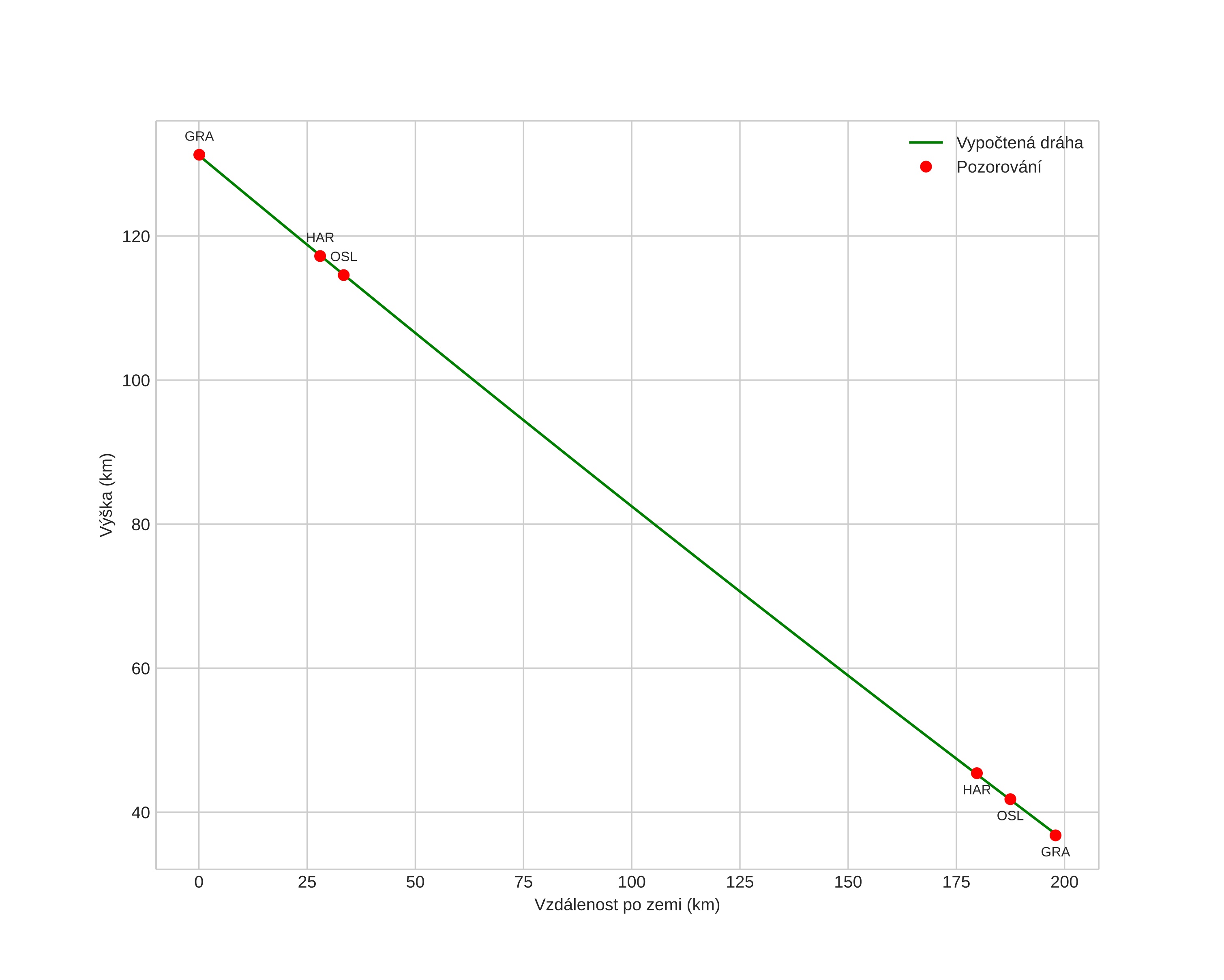
height profile
Atmosférická dráha meteoru:
Počáteční výška: 131,2 km
Konečná výška: 36,9 km
Počáteční poloha: 64,220N 5,047E
Konečná poloha: 63,027N 8,025E
Směr: 130,7°
Sklon: 25,5°
VstupnĂ­ rychlost: 36,6 km/s
Rektascenze radiantu: 23:59 (360,0°)
Deklinace radiantu: 38,2°
MeteorickĂ˝ roj: sporadickĂ˝
Elementy dráhy meteoroidu:
Vzdálenost v periheliu: 0,773 AU
Excentricita: 1,815
Sklon dráhy: 26,6°
Délka vzestupného uzlu: 216,7°
Argument perihelia: 229,0°
Střední anomálie: -25,6°
Epocha: 2017 OCT 30 04:55:22
orbit plot

NeinteraktivnĂ­ graf | InteraktivnĂ­ graf

position vs time
speed and acceleration