🇳🇴 🇬🇧 🇩🇪 🇨🇿 🇫🇮

Meteor Tingvollin yllä 2017-10-30 04:55:22 UTC

KML-tiedosto  |  Interaktiivinen kartta

Kartta näyttää meteorin suuntahavainnot. Vaaleammat viivat näyttävät suunnat havaintoasemilta meteorin ilmestyessä, ja tummemmat viivat näyttävät, missä se viimeksi nähtiin. Sininen nuoli näyttää meteorin näkyvän lennon.

static map
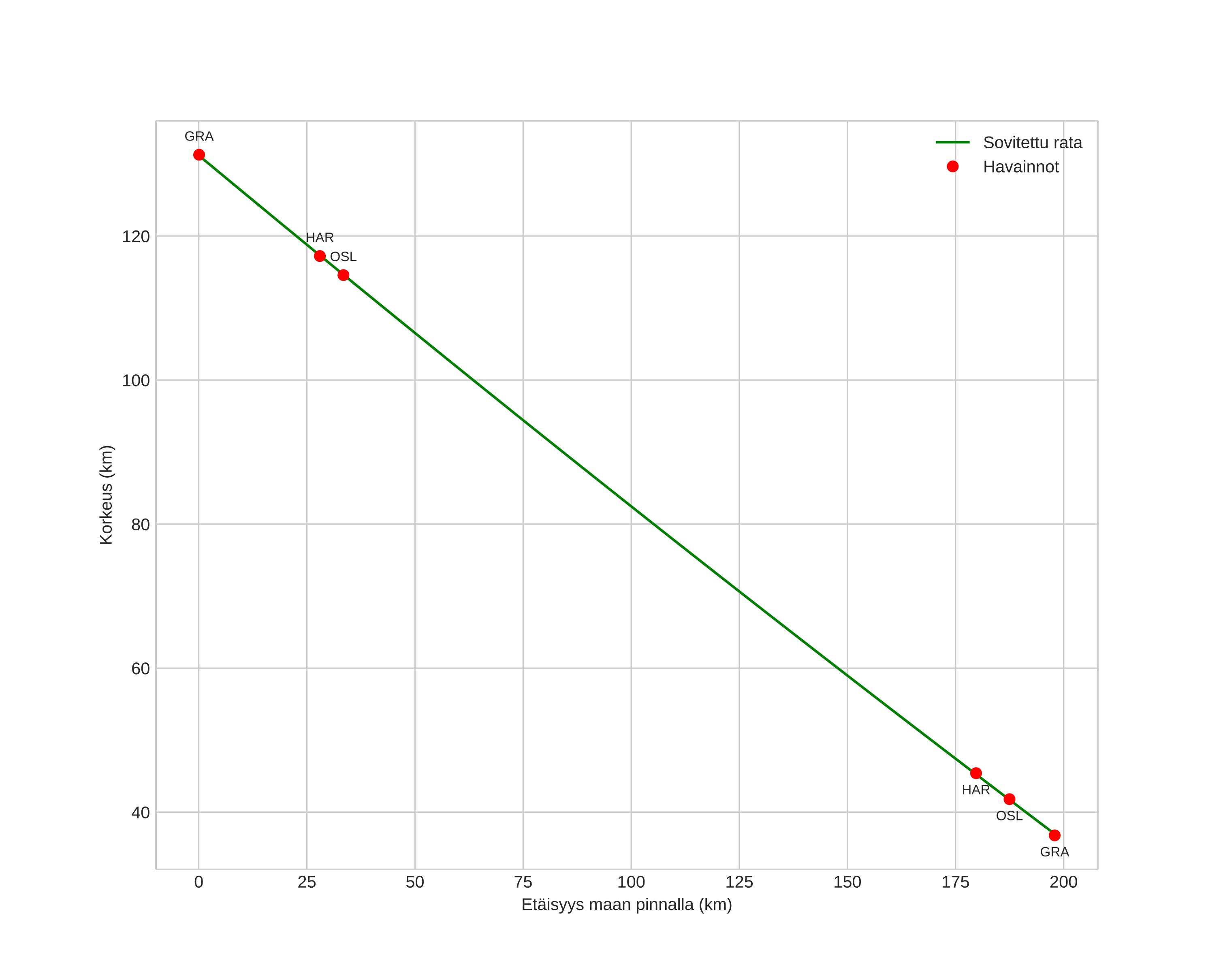
height profile
Meteorin ilmakehärata:
Alkukorkeus: 131,2 km
Loppukorkeus: 36,9 km
Alkupiste: 64,220N 5,047E
Loppupiste: 63,027N 8,025E
Suunta: 130,7°
Kallistuskulma: 25,5°
Tulonopeus: 36,6 km/s
Radiantin R,A,: 23:59 (360,0°)
Radiantin Dekl,: 38,2°
Meteoriparvi: Sporadinen
Meteoroidin rataelementit:
Perihelietäisyys: 0,773 AU
Eksentrisyys: 1,815
Inklinaatio: 26,6°
Nousevan solmun pituus: 216,7°
Perihelin argumentti: 229,0°
Keskianomalia: -25,6°
Epookki: 2017 OCT 30 04:55:22
orbit plot

Ei-interaktiivinen kuvaaja | Interaktiivinen kuvaaja

position vs time
speed and acceleration