🇳🇴 🇬🇧 🇩🇪 🇨🇿 🇫🇮

Meteor über Tingvoll 2017-10-30 04:55:22 UTC

KML-Datei  |  Interaktive Karte

Die Karte zeigt die Peilungen für den Meteor. Die helleren Linien zeigen die Richtungen von den Beobachtungsorten beim Erscheinen des Meteors, und die dunkleren Linien, wo er zuletzt gesehen wurde. Der blaue Pfeil zeigt die sichtbare Bahn des Meteors.

static map
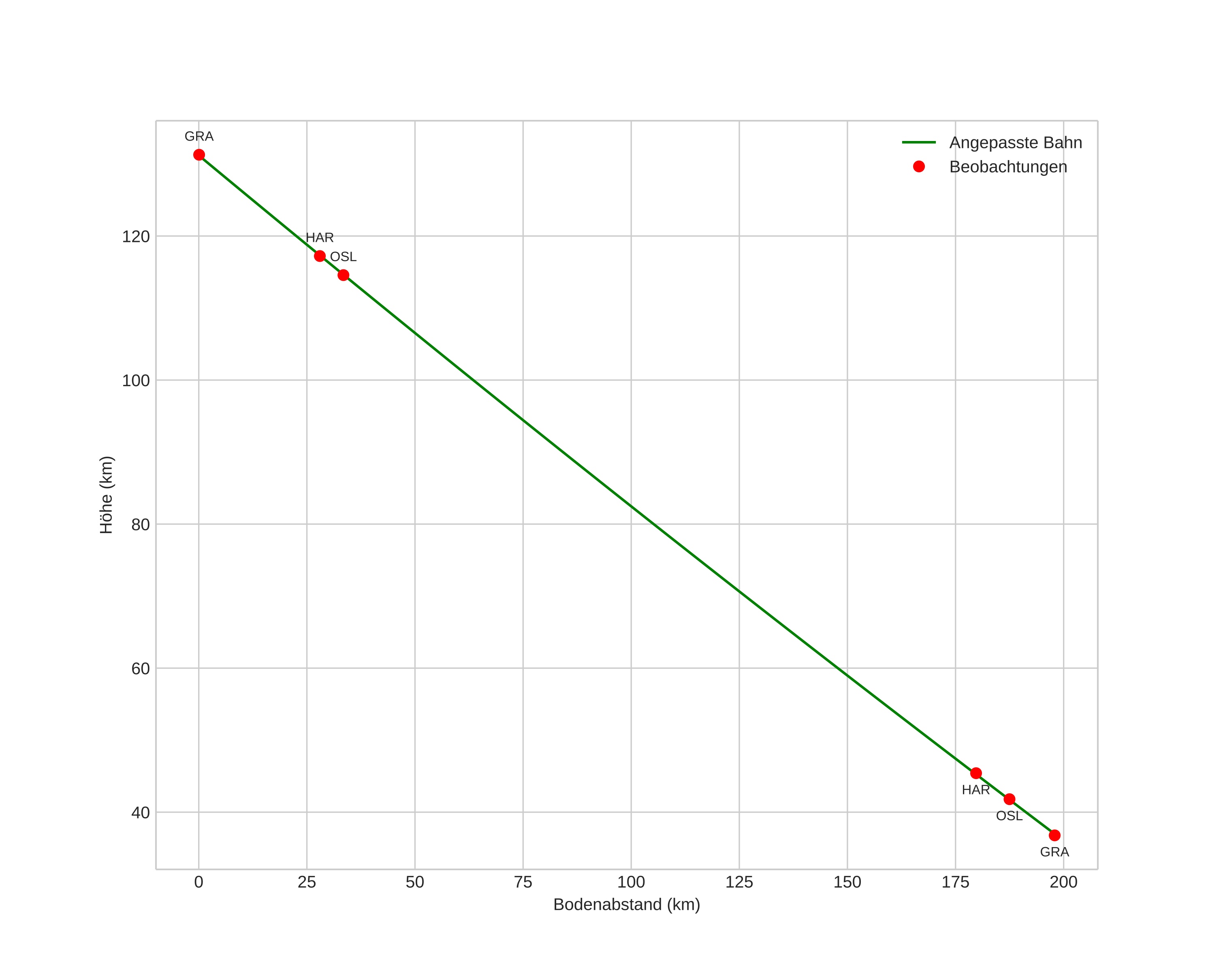
height profile
Atmosphärische Bahn des Meteors:
Anfangshöhe: 131,2 km
Endhöhe: 36,9 km
Startposition: 64,220N 5,047E
Endposition: 63,027N 8,025E
Richtung: 130,7°
Neigungswinkel: 25,5°
Eintrittsgeschwindigkeit: 36,6 km/s
Rektaszension des Radianten: 23:59 (360,0°)
Deklination des Radianten: 38,2°
Meteorstrom: sporadisch
Bahnelemente des Meteoroiden:
Periheldistanz: 0,773 AU
Exzentrizität: 1,815
Inklination: 26,6°
Länge des aufsteigenden Knotens: 216,7°
Argument des Perihels: 229,0°
Mittlere Anomalie: -25,6°
Epoche: 2017 OCT 30 04:55:22
orbit plot

Nicht-interaktives Diagramm | Interaktives Diagramm

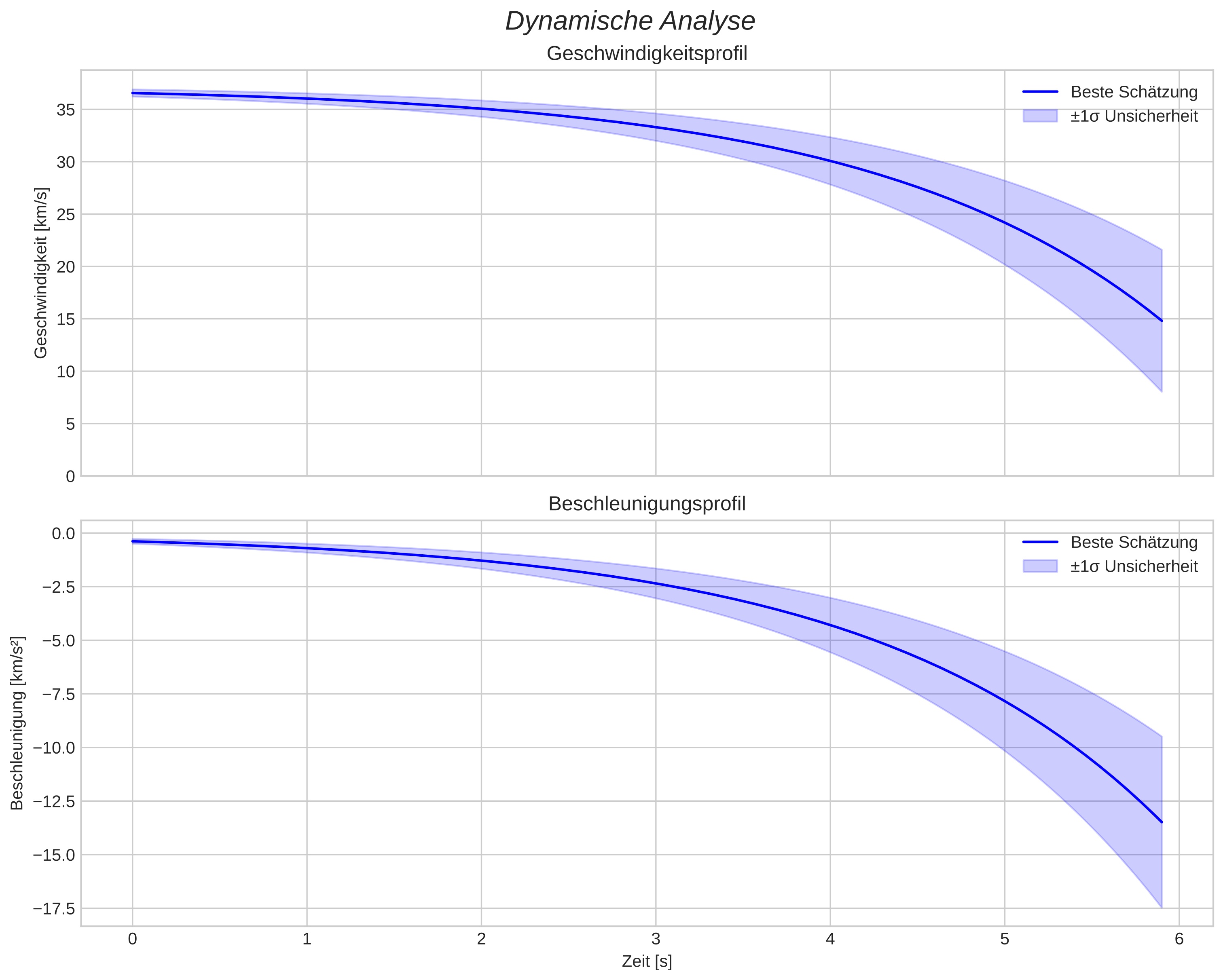
position vs time
speed and acceleration