🇳🇴 🇬🇧 🇩🇪 🇨🇿 🇫🇮

Meteor, poloha: Ă–dsmĂĄl 2017-11-19 23:35:06 UTC

Soubor KML  |  InteraktivnĂ­ mapa

Mapa zobrazuje dráhy meteoru. Světlejší čáry ukazují směry od pozorovacích stanic při objevení se meteoru a tmavší čáry, kde byl naposledy viděn. Modrá šipka značí viditelnou dráhu meteoru.

static map
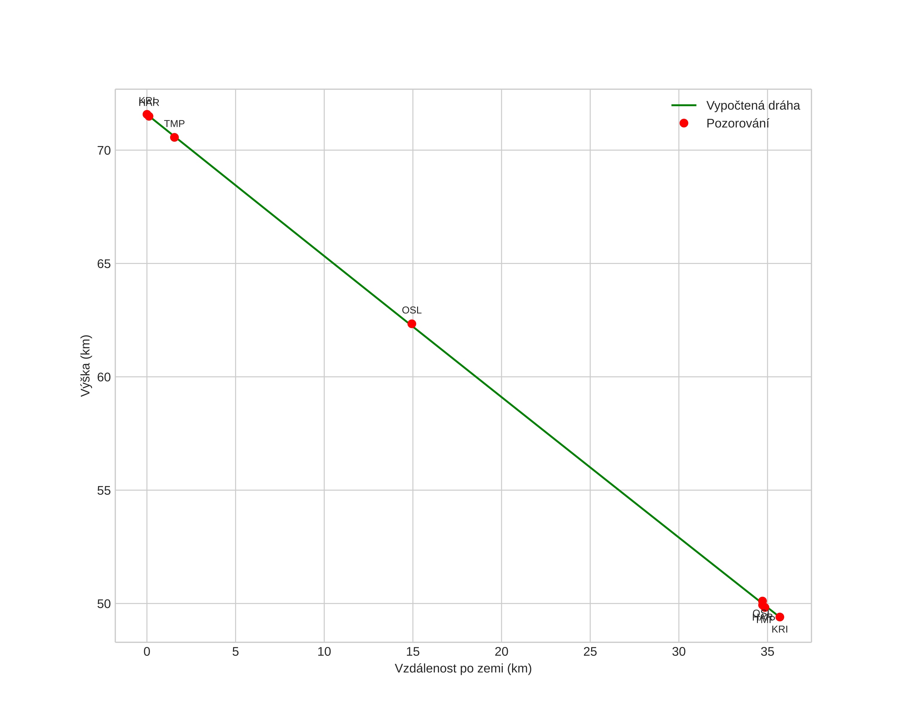
height profile
Atmosférická dráha meteoru:
Počáteční výška: 71,6 km
Konečná výška: 49,4 km
Počáteční poloha: 58,238N 11,363E
Konečná poloha: 58,056N 11,864E
Směr: 124,2°
Sklon: 31,9°
VstupnĂ­ rychlost: 14,6 km/s
Rektascenze radiantu: 20:57 (314,5°)
Deklinace radiantu: 32,7°
MeteorickĂ˝ roj: sporadickĂ˝
Elementy dráhy meteoroidu:
Vzdálenost v periheliu: 0,988 AU
Excentricita: 0,557
Sklon dráhy: 10,9°
Délka vzestupného uzlu: 237,6°
Argument perihelia: 182,9°
Střední anomálie: 359,3°
Epocha: 2017 NOV 19 23:35:06
orbit plot

NeinteraktivnĂ­ graf | InteraktivnĂ­ graf

position vs time
speed and acceleration