🇳🇴 🇬🇧 🇩🇪 🇨🇿 🇫🇮

Meteor über Ödsmål 2017-11-19 23:35:06 UTC

KML-Datei  |  Interaktive Karte

Die Karte zeigt die Peilungen für den Meteor. Die helleren Linien zeigen die Richtungen von den Beobachtungsorten beim Erscheinen des Meteors, und die dunkleren Linien, wo er zuletzt gesehen wurde. Der blaue Pfeil zeigt die sichtbare Bahn des Meteors.

static map
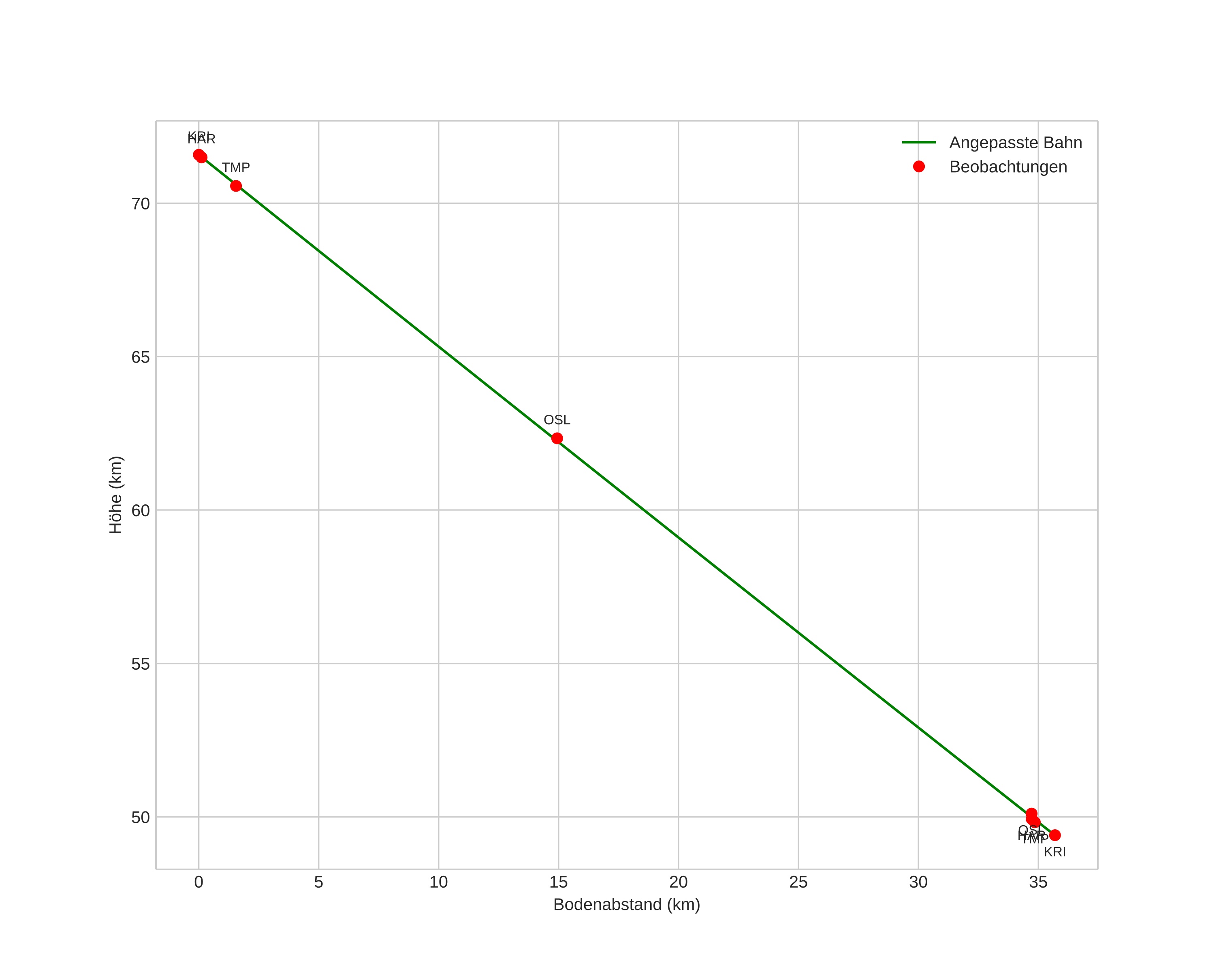
height profile
Atmosphärische Bahn des Meteors:
Anfangshöhe: 71,6 km
Endhöhe: 49,4 km
Startposition: 58,238N 11,363E
Endposition: 58,056N 11,864E
Richtung: 124,2°
Neigungswinkel: 31,9°
Eintrittsgeschwindigkeit: 14,6 km/s
Rektaszension des Radianten: 20:57 (314,5°)
Deklination des Radianten: 32,7°
Meteorstrom: sporadisch
Bahnelemente des Meteoroiden:
Periheldistanz: 0,988 AU
Exzentrizität: 0,557
Inklination: 10,9°
Länge des aufsteigenden Knotens: 237,6°
Argument des Perihels: 182,9°
Mittlere Anomalie: 359,3°
Epoche: 2017 NOV 19 23:35:06
orbit plot

Nicht-interaktives Diagramm | Interaktives Diagramm

position vs time
speed and acceleration