🇳🇴 🇬🇧 🇩🇪 🇨🇿 🇫🇮

Meteor Ödsmålin yllä 2017-11-19 23:35:06 UTC

KML-tiedosto  |  Interaktiivinen kartta

Kartta näyttää meteorin suuntahavainnot. Vaaleammat viivat näyttävät suunnat havaintoasemilta meteorin ilmestyessä, ja tummemmat viivat näyttävät, missä se viimeksi nähtiin. Sininen nuoli näyttää meteorin näkyvän lennon.

static map
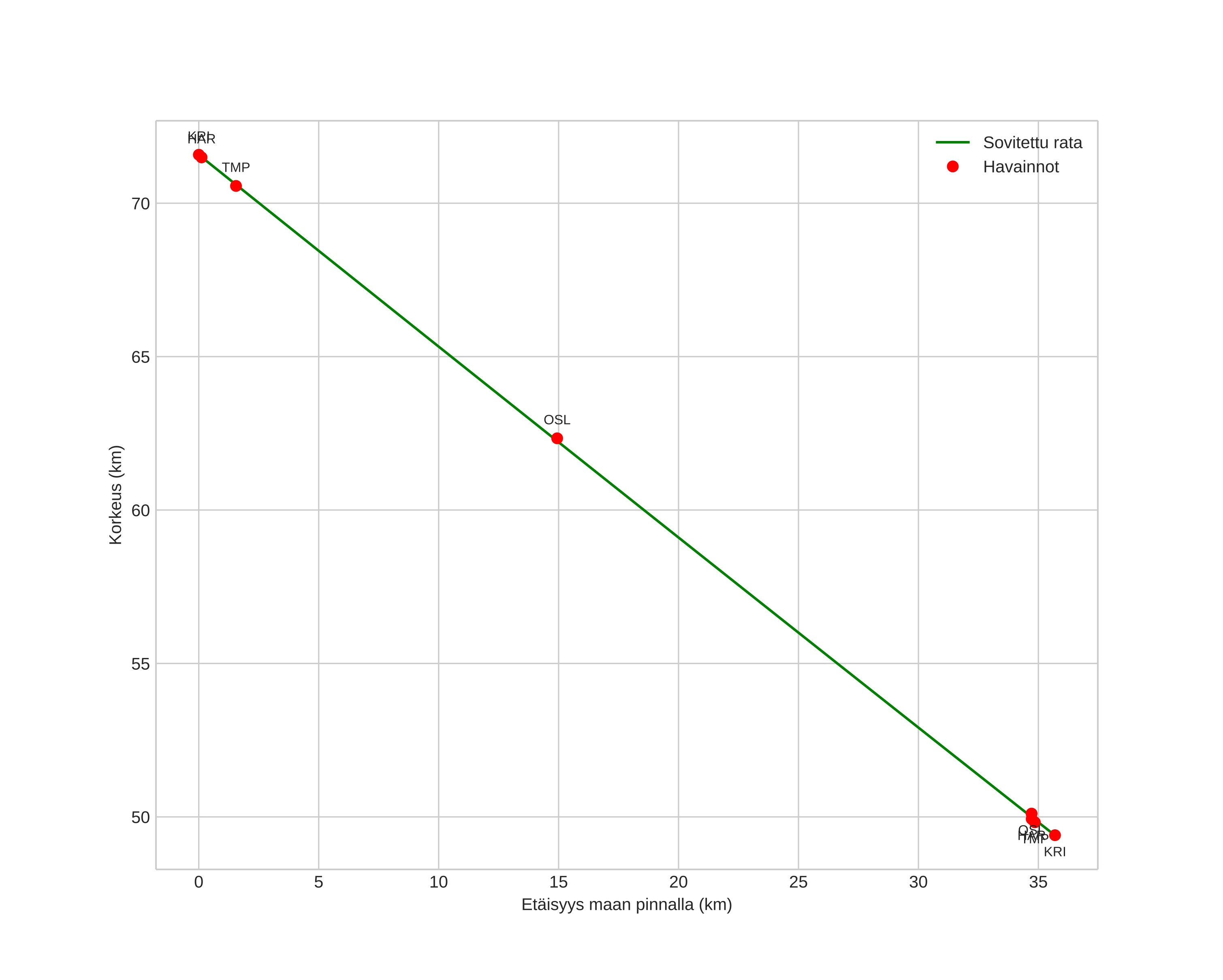
height profile
Meteorin ilmakehärata:
Alkukorkeus: 71,6 km
Loppukorkeus: 49,4 km
Alkupiste: 58,238N 11,363E
Loppupiste: 58,056N 11,864E
Suunta: 124,2°
Kallistuskulma: 31,9°
Tulonopeus: 14,6 km/s
Radiantin R,A,: 20:57 (314,5°)
Radiantin Dekl,: 32,7°
Meteoriparvi: Sporadinen
Meteoroidin rataelementit:
Perihelietäisyys: 0,988 AU
Eksentrisyys: 0,557
Inklinaatio: 10,9°
Nousevan solmun pituus: 237,6°
Perihelin argumentti: 182,9°
Keskianomalia: 359,3°
Epookki: 2017 NOV 19 23:35:06
orbit plot

Ei-interaktiivinen kuvaaja | Interaktiivinen kuvaaja

position vs time
speed and acceleration