🇳🇴 🇬🇧 🇩🇪 🇨🇿 🇫🇮

Meteor, poloha: Västra Hagen 2018-08-13 00:13:36 UTC

Soubor KML  |  InteraktivnĂ­ mapa

Mapa zobrazuje dráhy meteoru. Světlejší čáry ukazují směry od pozorovacích stanic při objevení se meteoru a tmavší čáry, kde byl naposledy viděn. Modrá šipka značí viditelnou dráhu meteoru.

static map
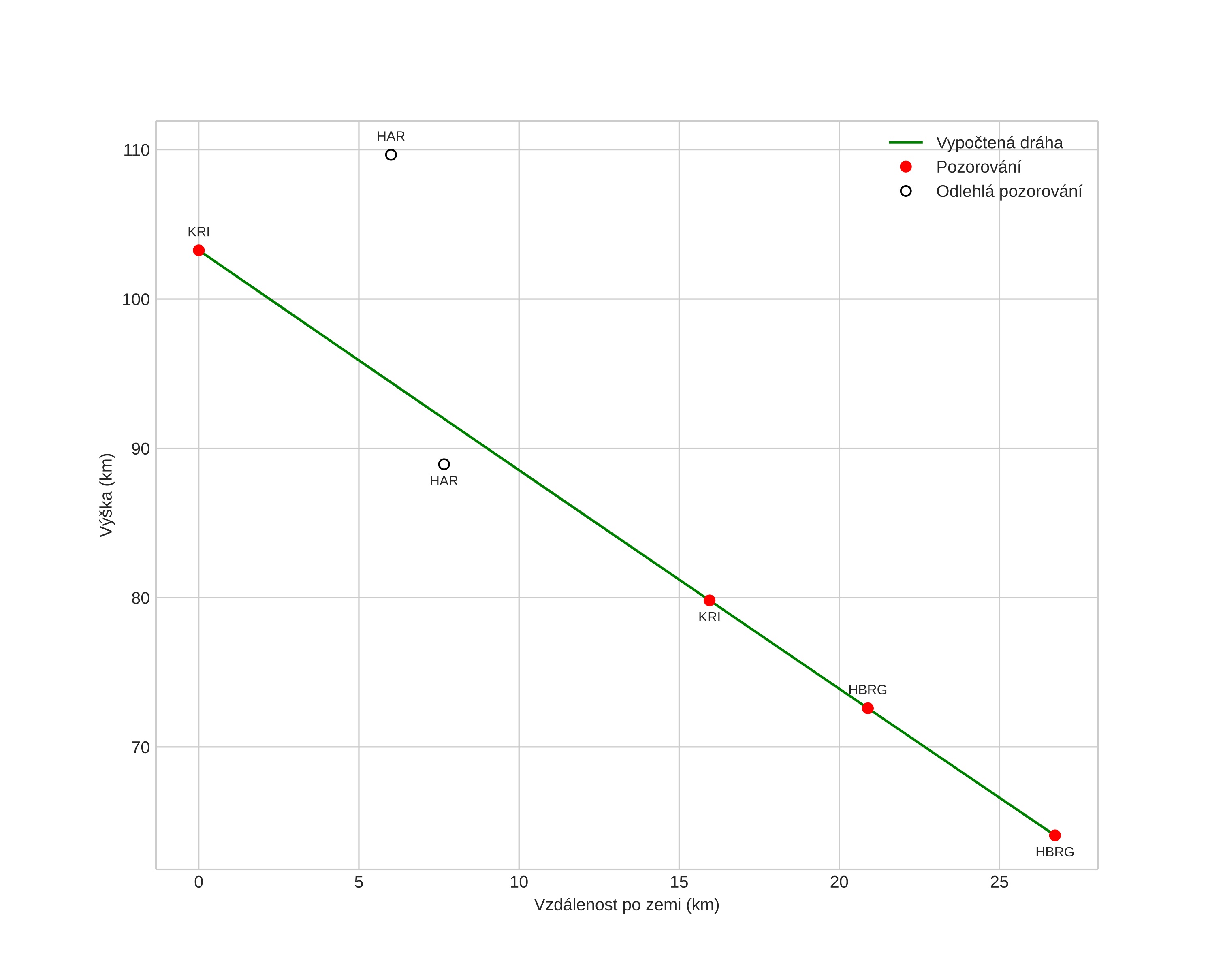
height profile
Atmosférická dráha meteoru:
Počáteční výška: 103,3 km
Konečná výška: 64,1 km
Počáteční poloha: 57,099N 11,895E
Konečná poloha: 56,956N 11,539E
Směr: 233,9°
Sklon: 55,7°
VstupnĂ­ rychlost: 55,7 km/s
Rektascenze radiantu: 03:04 (46,1°)
Deklinace radiantu: 60,9°
MeteorickĂ˝ roj: Perseidy
Elementy dráhy meteoroidu:
Vzdálenost v periheliu: 0,947 AU
Excentricita: 0,723
Sklon dráhy: 106,0°
Délka vzestupného uzlu: 140,0°
Argument perihelia: 147,5°
Střední anomálie: 3,8°
Epocha: 2018 AUG 13 00:13:36
orbit plot

NeinteraktivnĂ­ graf | InteraktivnĂ­ graf

position vs time
speed and acceleration