🇳🇴 🇬🇧 🇩🇪 🇨🇿 🇫🇮

Meteor Västra Hagenin yllä 2018-08-13 00:13:36 UTC

KML-tiedosto  |  Interaktiivinen kartta

Kartta näyttää meteorin suuntahavainnot. Vaaleammat viivat näyttävät suunnat havaintoasemilta meteorin ilmestyessä, ja tummemmat viivat näyttävät, missä se viimeksi nähtiin. Sininen nuoli näyttää meteorin näkyvän lennon.

static map
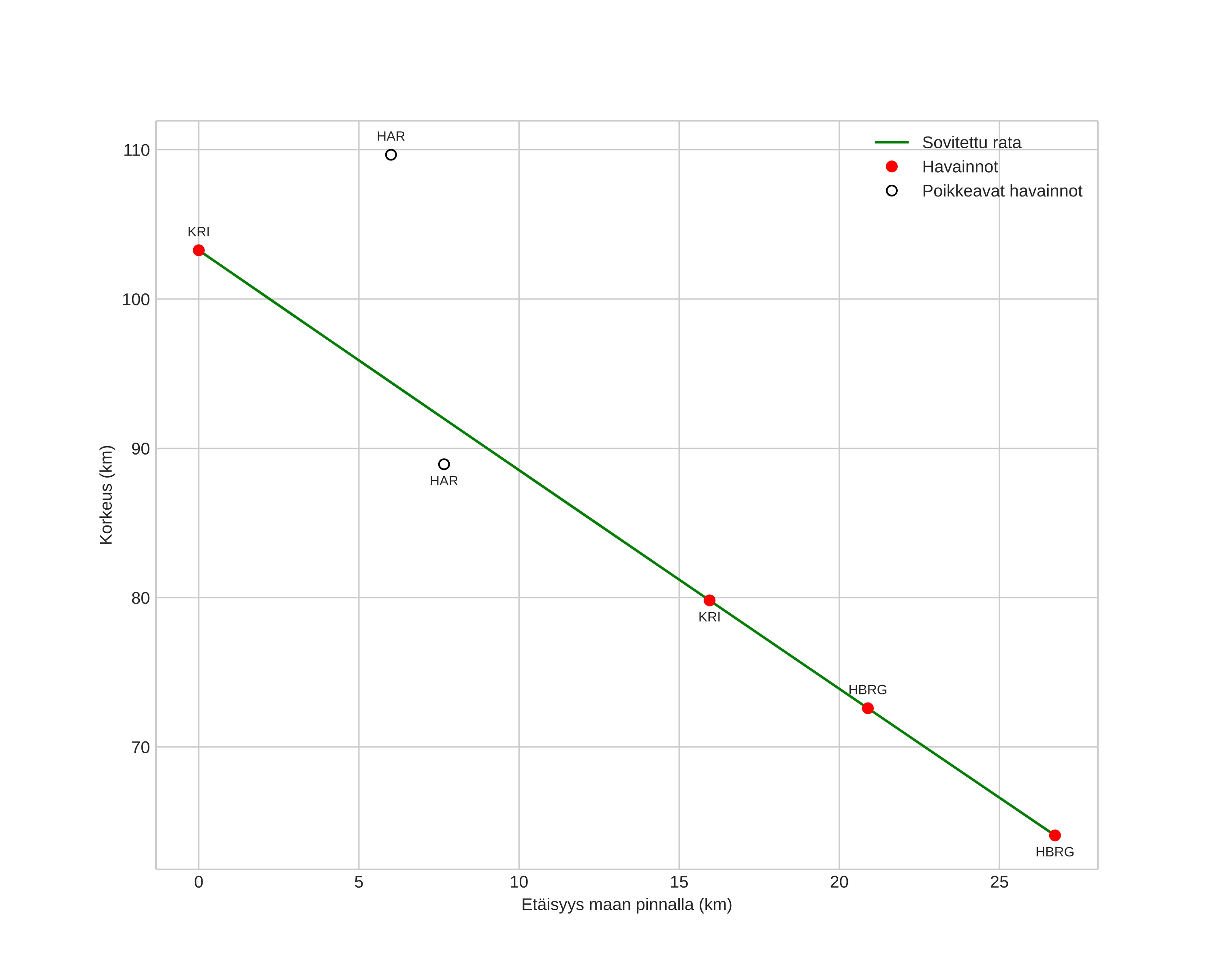
height profile
Meteorin ilmakehärata:
Alkukorkeus: 103,3 km
Loppukorkeus: 64,1 km
Alkupiste: 57,099N 11,895E
Loppupiste: 56,956N 11,539E
Suunta: 233,9°
Kallistuskulma: 55,7°
Tulonopeus: 55,7 km/s
Radiantin R,A,: 03:04 (46,1°)
Radiantin Dekl,: 60,9°
Meteoriparvi: Perseidit
Meteoroidin rataelementit:
Perihelietäisyys: 0,947 AU
Eksentrisyys: 0,723
Inklinaatio: 106,0°
Nousevan solmun pituus: 140,0°
Perihelin argumentti: 147,5°
Keskianomalia: 3,8°
Epookki: 2018 AUG 13 00:13:36
orbit plot

Ei-interaktiivinen kuvaaja | Interaktiivinen kuvaaja

position vs time
speed and acceleration