🇳🇴 🇬🇧 🇩🇪 🇨🇿 🇫🇮

Meteor über Västra Hagen 2018-08-13 00:13:36 UTC

KML-Datei  |  Interaktive Karte

Die Karte zeigt die Peilungen für den Meteor. Die helleren Linien zeigen die Richtungen von den Beobachtungsorten beim Erscheinen des Meteors, und die dunkleren Linien, wo er zuletzt gesehen wurde. Der blaue Pfeil zeigt die sichtbare Bahn des Meteors.

static map
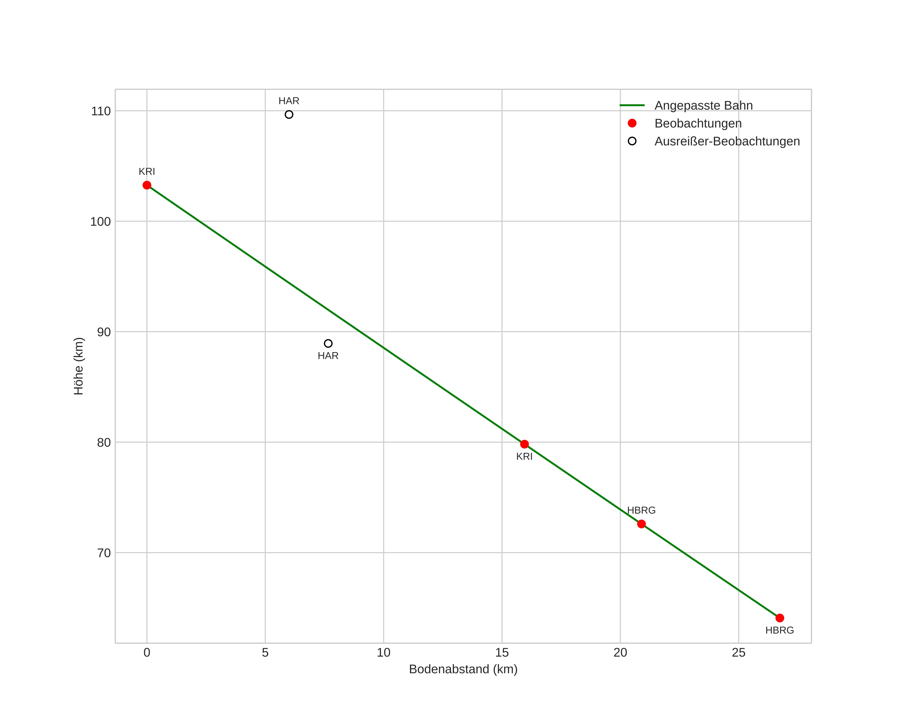
height profile
Atmosphärische Bahn des Meteors:
Anfangshöhe: 103,3 km
Endhöhe: 64,1 km
Startposition: 57,099N 11,895E
Endposition: 56,956N 11,539E
Richtung: 233,9°
Neigungswinkel: 55,7°
Eintrittsgeschwindigkeit: 55,7 km/s
Rektaszension des Radianten: 03:04 (46,1°)
Deklination des Radianten: 60,9°
Meteorstrom: Perseiden
Bahnelemente des Meteoroiden:
Periheldistanz: 0,947 AU
Exzentrizität: 0,723
Inklination: 106,0°
Länge des aufsteigenden Knotens: 140,0°
Argument des Perihels: 147,5°
Mittlere Anomalie: 3,8°
Epoche: 2018 AUG 13 00:13:36
orbit plot

Nicht-interaktives Diagramm | Interaktives Diagramm

position vs time
speed and acceleration