🇳🇴 🇬🇧 🇩🇪 🇨🇿 🇫🇮

Meteor, poloha: Selvik 2018-08-21 21:13:26 UTC

Soubor KML  |  InteraktivnĂ­ mapa

Mapa zobrazuje dráhy meteoru. Světlejší čáry ukazují směry od pozorovacích stanic při objevení se meteoru a tmavší čáry, kde byl naposledy viděn. Modrá šipka značí viditelnou dráhu meteoru.

static map
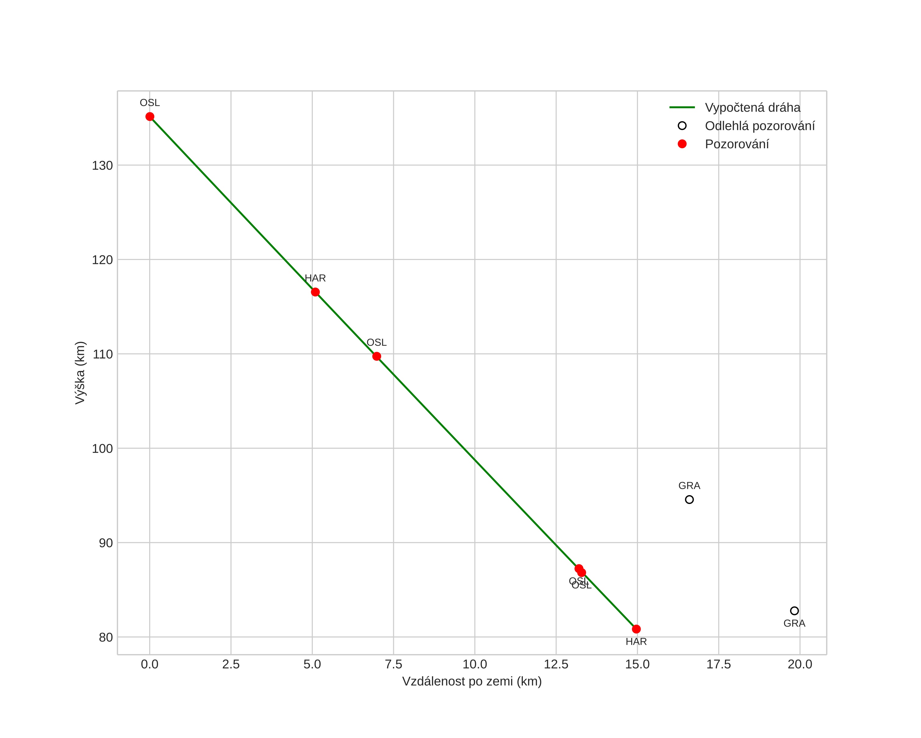
height profile
Atmosférická dráha meteoru:
Počáteční výška: 135,1 km
Konečná výška: 80,8 km
Počáteční poloha: 59,526N 10,000E
Konečná poloha: 59,564N 10,255E
Směr: 73,6°
Sklon: 74,6°
VstupnĂ­ rychlost: 53,2 km/s
Rektascenze radiantu: 18:12 (273,1°)
Deklinace radiantu: 52,1°
MeteorickĂ˝ roj: sporadickĂ˝
Elementy dráhy meteoroidu:
Vzdálenost v periheliu: 1,000 AU
Excentricita: 3,739
Sklon dráhy: 51,9°
Délka vzestupného uzlu: 148,5°
Argument perihelia: 189,7°
Střední anomálie: -20,3°
Epocha: 2018 AUG 21 21:13:26
orbit plot

NeinteraktivnĂ­ graf | InteraktivnĂ­ graf

position vs time
speed and acceleration