🇳🇴 🇬🇧 🇩🇪 🇨🇿 🇫🇮

Meteor Selvikin yllä 2018-08-21 21:13:26 UTC

KML-tiedosto  |  Interaktiivinen kartta

Kartta näyttää meteorin suuntahavainnot. Vaaleammat viivat näyttävät suunnat havaintoasemilta meteorin ilmestyessä, ja tummemmat viivat näyttävät, missä se viimeksi nähtiin. Sininen nuoli näyttää meteorin näkyvän lennon.

static map
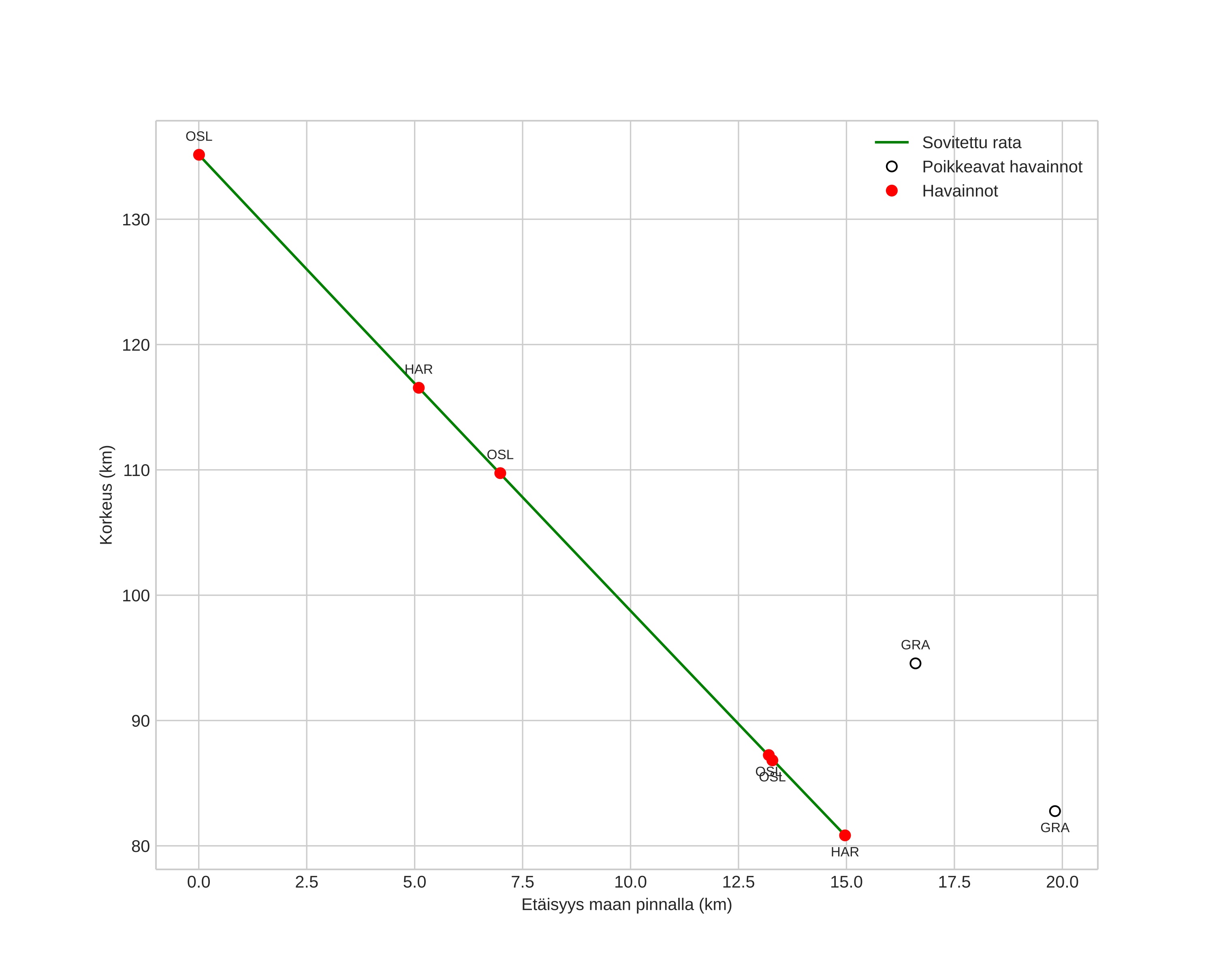
height profile
Meteorin ilmakehärata:
Alkukorkeus: 135,1 km
Loppukorkeus: 80,8 km
Alkupiste: 59,526N 10,000E
Loppupiste: 59,564N 10,255E
Suunta: 73,6°
Kallistuskulma: 74,6°
Tulonopeus: 53,2 km/s
Radiantin R,A,: 18:12 (273,1°)
Radiantin Dekl,: 52,1°
Meteoriparvi: Sporadinen
Meteoroidin rataelementit:
Perihelietäisyys: 1,000 AU
Eksentrisyys: 3,739
Inklinaatio: 51,9°
Nousevan solmun pituus: 148,5°
Perihelin argumentti: 189,7°
Keskianomalia: -20,3°
Epookki: 2018 AUG 21 21:13:26
orbit plot

Ei-interaktiivinen kuvaaja | Interaktiivinen kuvaaja

position vs time
speed and acceleration