🇳🇴 🇬🇧 🇩🇪 🇨🇿 🇫🇮

Meteor über Selvik 2018-08-21 21:13:26 UTC

KML-Datei  |  Interaktive Karte

Die Karte zeigt die Peilungen für den Meteor. Die helleren Linien zeigen die Richtungen von den Beobachtungsorten beim Erscheinen des Meteors, und die dunkleren Linien, wo er zuletzt gesehen wurde. Der blaue Pfeil zeigt die sichtbare Bahn des Meteors.

static map
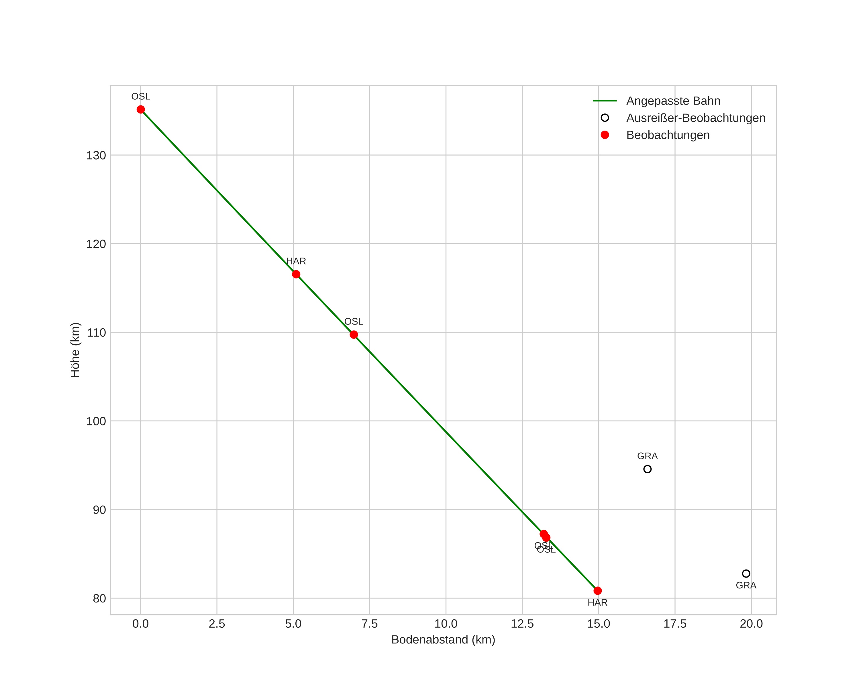
height profile
Atmosphärische Bahn des Meteors:
Anfangshöhe: 135,1 km
Endhöhe: 80,8 km
Startposition: 59,526N 10,000E
Endposition: 59,564N 10,255E
Richtung: 73,6°
Neigungswinkel: 74,6°
Eintrittsgeschwindigkeit: 53,2 km/s
Rektaszension des Radianten: 18:12 (273,1°)
Deklination des Radianten: 52,1°
Meteorstrom: sporadisch
Bahnelemente des Meteoroiden:
Periheldistanz: 1,000 AU
Exzentrizität: 3,739
Inklination: 51,9°
Länge des aufsteigenden Knotens: 148,5°
Argument des Perihels: 189,7°
Mittlere Anomalie: -20,3°
Epoche: 2018 AUG 21 21:13:26
orbit plot

Nicht-interaktives Diagramm | Interaktives Diagramm

position vs time
speed and acceleration