🇳🇴 🇬🇧 🇩🇪 🇨🇿 🇫🇮

Meteor, poloha: Kjenn 2018-10-02 21:06:44 UTC

Soubor KML  |  InteraktivnĂ­ mapa

Mapa zobrazuje dráhy meteoru. Světlejší čáry ukazují směry od pozorovacích stanic při objevení se meteoru a tmavší čáry, kde byl naposledy viděn. Modrá šipka značí viditelnou dráhu meteoru.

static map
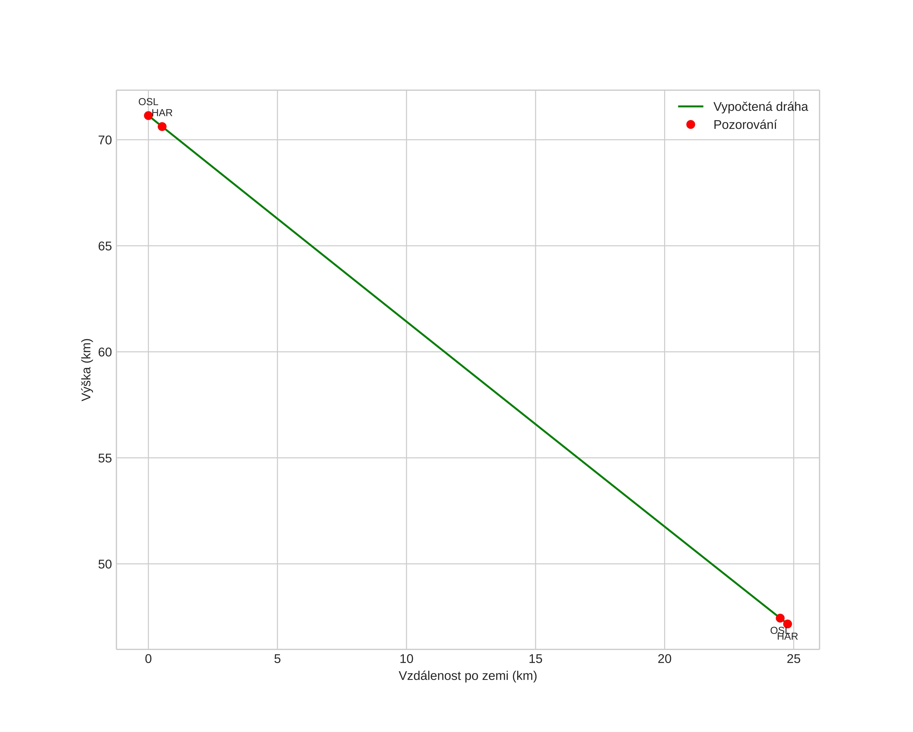
height profile
Atmosférická dráha meteoru:
Počáteční výška: 71,1 km
Konečná výška: 47,2 km
Počáteční poloha: 59,707N 10,760E
Konečná poloha: 59,909N 10,944E
Směr: 24,5°
Sklon: 44,0°
VstupnĂ­ rychlost: 12,2 km/s
Rektascenze radiantu: 21:00 (315,2°)
Deklinace radiantu: -3,5°
MeteorickĂ˝ roj: sporadickĂ˝
Elementy dráhy meteoroidu:
Vzdálenost v periheliu: 0,978 AU
Excentricita: 0,325
Sklon dráhy: 2,0°
Délka vzestupného uzlu: 189,3°
Argument perihelia: 205,0°
Střední anomálie: 347,8°
Epocha: 2018 OCT 02 21:06:44
orbit plot

NeinteraktivnĂ­ graf | InteraktivnĂ­ graf

position vs time
speed and acceleration