🇳🇴 🇬🇧 🇩🇪 🇨🇿 🇫🇮

Meteor über Kjenn 2018-10-02 21:06:44 UTC

KML-Datei  |  Interaktive Karte

Die Karte zeigt die Peilungen für den Meteor. Die helleren Linien zeigen die Richtungen von den Beobachtungsorten beim Erscheinen des Meteors, und die dunkleren Linien, wo er zuletzt gesehen wurde. Der blaue Pfeil zeigt die sichtbare Bahn des Meteors.

static map
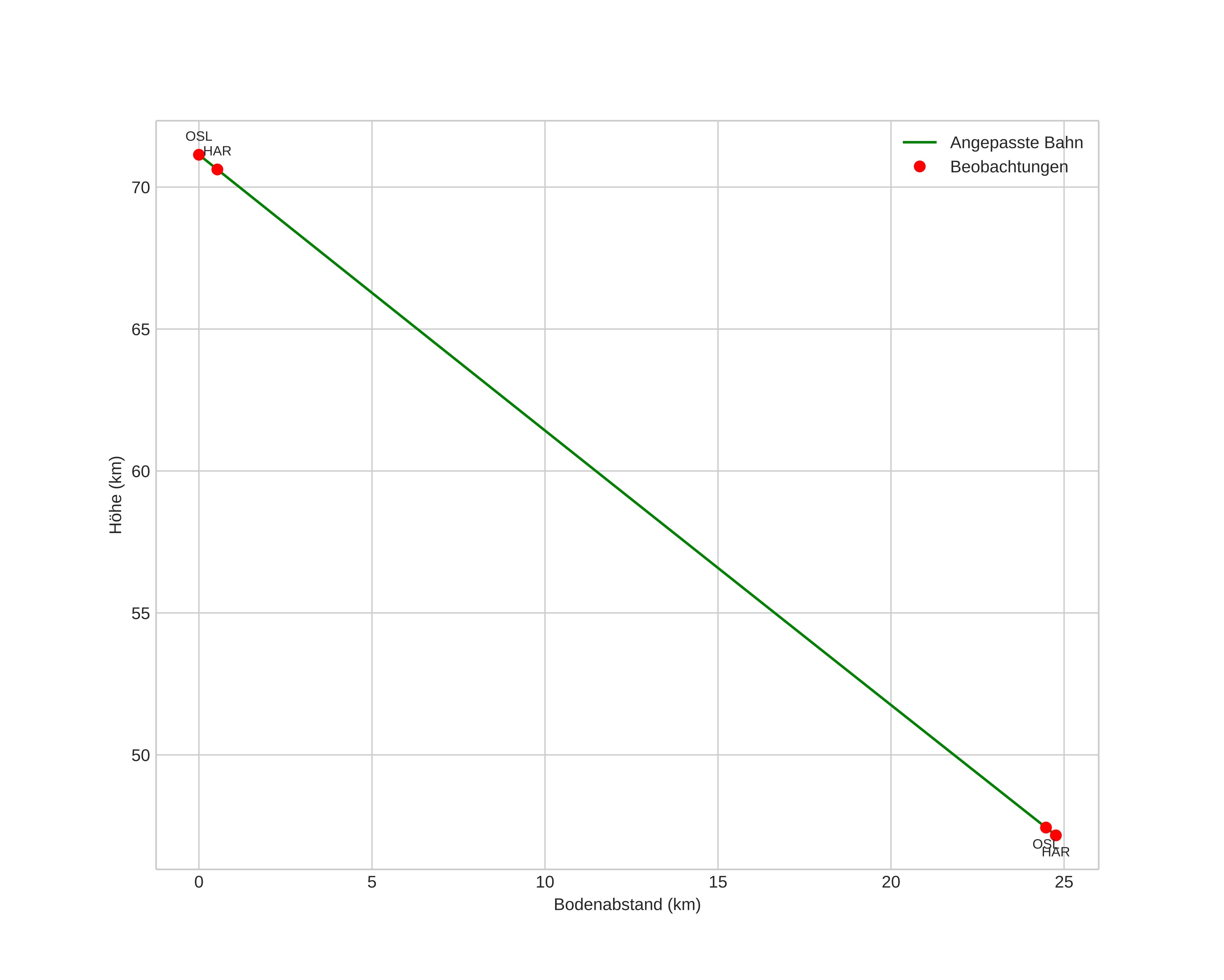
height profile
Atmosphärische Bahn des Meteors:
Anfangshöhe: 71,1 km
Endhöhe: 47,2 km
Startposition: 59,707N 10,760E
Endposition: 59,909N 10,944E
Richtung: 24,5°
Neigungswinkel: 44,0°
Eintrittsgeschwindigkeit: 12,2 km/s
Rektaszension des Radianten: 21:00 (315,2°)
Deklination des Radianten: -3,5°
Meteorstrom: sporadisch
Bahnelemente des Meteoroiden:
Periheldistanz: 0,978 AU
Exzentrizität: 0,325
Inklination: 2,0°
Länge des aufsteigenden Knotens: 189,3°
Argument des Perihels: 205,0°
Mittlere Anomalie: 347,8°
Epoche: 2018 OCT 02 21:06:44
orbit plot

Nicht-interaktives Diagramm | Interaktives Diagramm

position vs time
speed and acceleration