🇳🇴 🇬🇧 🇩🇪 🇨🇿 🇫🇮

Meteor Kjennin yllä 2018-10-02 21:06:44 UTC

KML-tiedosto  |  Interaktiivinen kartta

Kartta näyttää meteorin suuntahavainnot. Vaaleammat viivat näyttävät suunnat havaintoasemilta meteorin ilmestyessä, ja tummemmat viivat näyttävät, missä se viimeksi nähtiin. Sininen nuoli näyttää meteorin näkyvän lennon.

static map
height profile
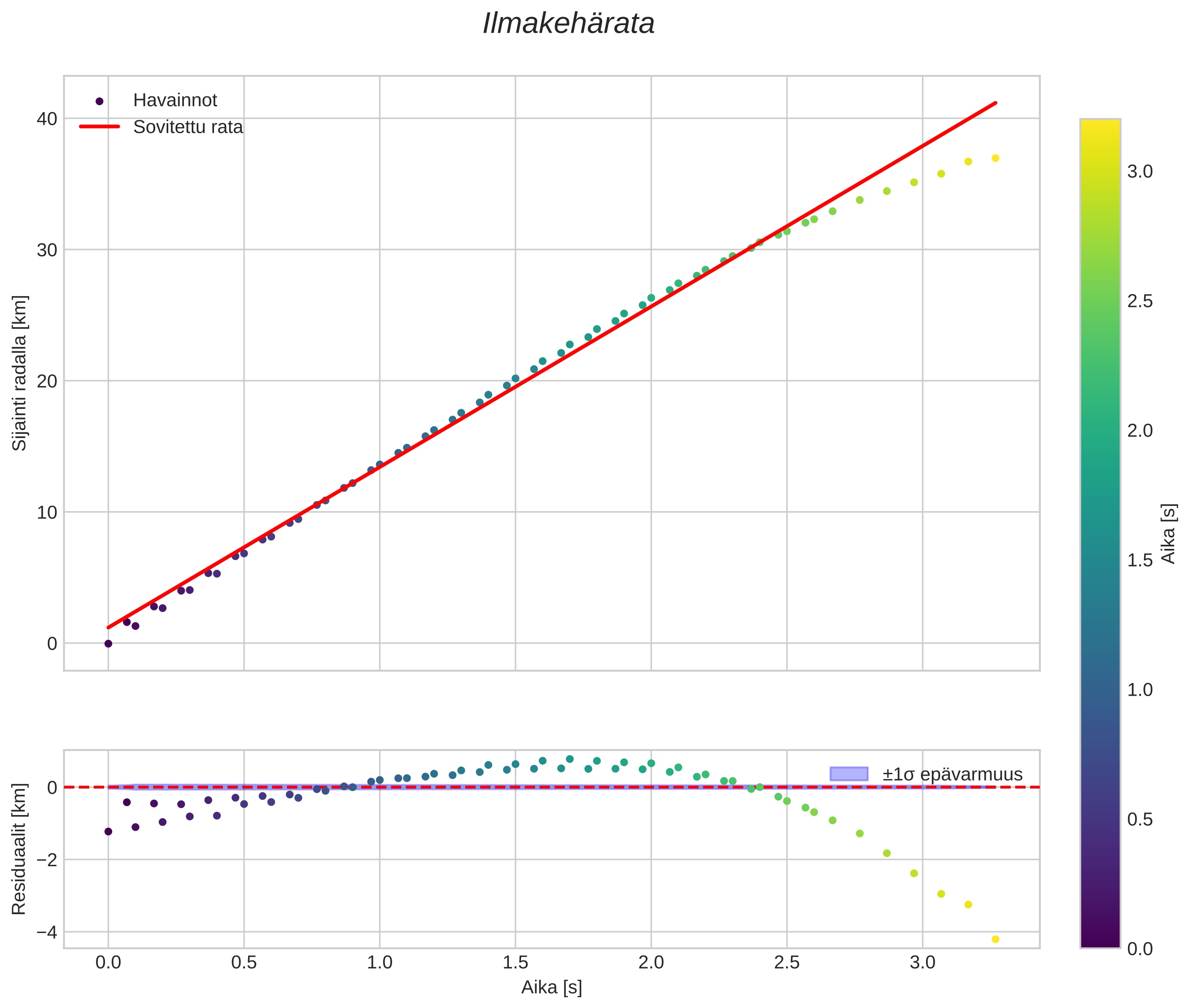
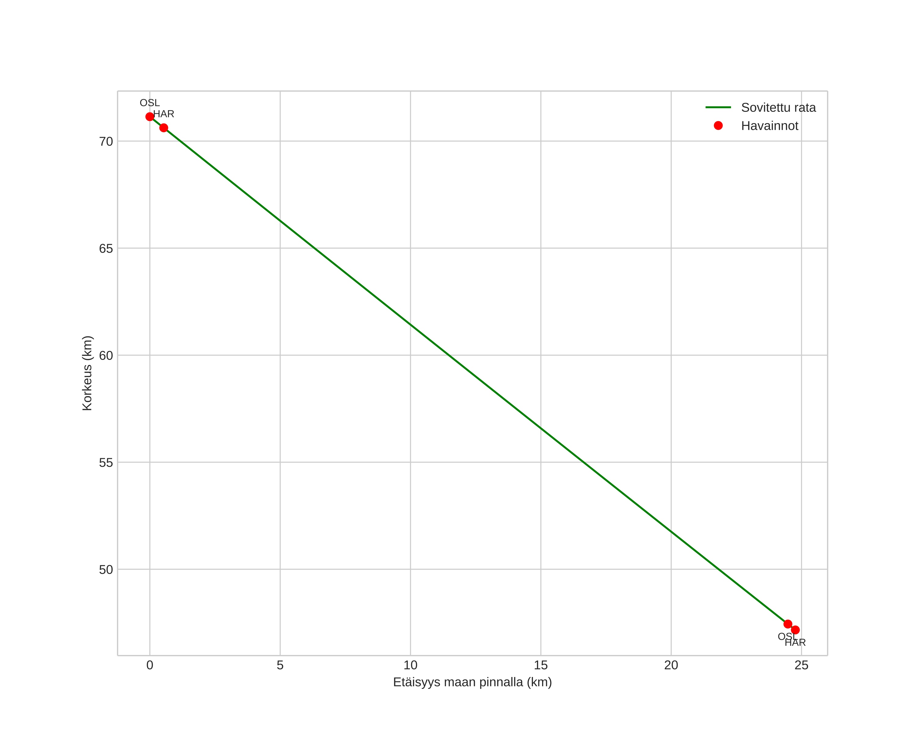
Meteorin ilmakehärata:
Alkukorkeus: 71,1 km
Loppukorkeus: 47,2 km
Alkupiste: 59,707N 10,760E
Loppupiste: 59,909N 10,944E
Suunta: 24,5°
Kallistuskulma: 44,0°
Tulonopeus: 12,2 km/s
Radiantin R,A,: 21:00 (315,2°)
Radiantin Dekl,: -3,5°
Meteoriparvi: Sporadinen
Meteoroidin rataelementit:
Perihelietäisyys: 0,978 AU
Eksentrisyys: 0,325
Inklinaatio: 2,0°
Nousevan solmun pituus: 189,3°
Perihelin argumentti: 205,0°
Keskianomalia: 347,8°
Epookki: 2018 OCT 02 21:06:44
orbit plot

Ei-interaktiivinen kuvaaja | Interaktiivinen kuvaaja

position vs time
speed and acceleration