🇳🇴 🇬🇧 🇩🇪 🇨🇿 🇫🇮

Meteor, poloha: Öckerö 2018-10-07 03:54:04 UTC

Soubor KML  |  InteraktivnĂ­ mapa

Mapa zobrazuje dráhy meteoru. Světlejší čáry ukazují směry od pozorovacích stanic při objevení se meteoru a tmavší čáry, kde byl naposledy viděn. Modrá šipka značí viditelnou dráhu meteoru.

static map
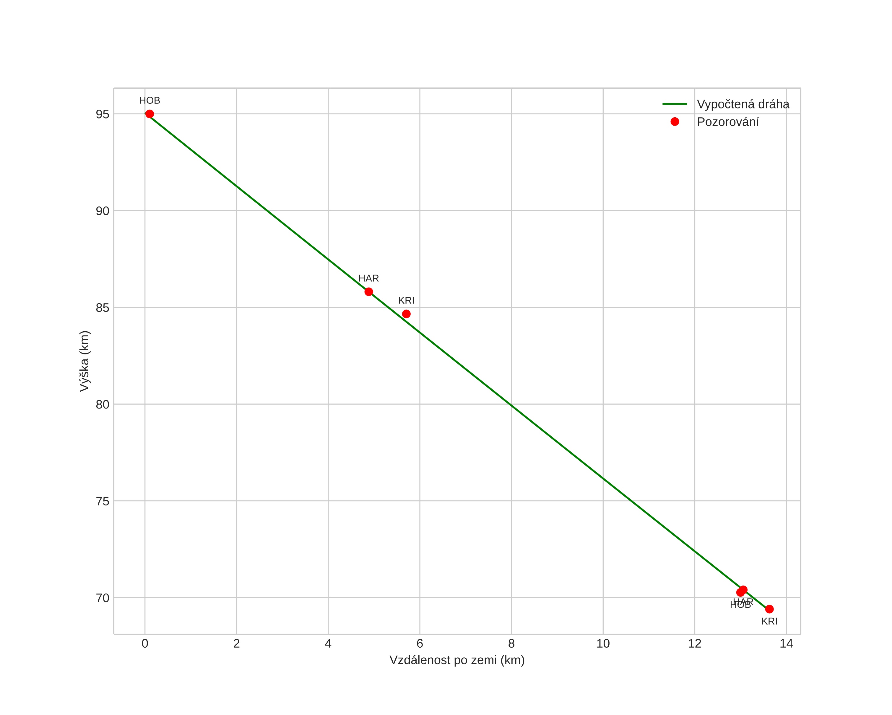
height profile
Atmosférická dráha meteoru:
Počáteční výška: 95,0 km
Konečná výška: 69,4 km
Počáteční poloha: 57,877N 11,585E
Konečná poloha: 57,756N 11,623E
Směr: 170,5°
Sklon: 62,0°
VstupnĂ­ rychlost: 44,2 km/s
Rektascenze radiantu: 02:22 (35,5°)
Deklinace radiantu: 83,6°
MeteorickĂ˝ roj: sporadickĂ˝
Elementy dráhy meteoroidu:
Vzdálenost v periheliu: 0,949 AU
Excentricita: 0,871
Sklon dráhy: 72,7°
Délka vzestupného uzlu: 193,6°
Argument perihelia: 207,1°
Střední anomálie: 359,1°
Epocha: 2018 OCT 07 03:54:04
orbit plot

NeinteraktivnĂ­ graf | InteraktivnĂ­ graf

position vs time
speed and acceleration