🇳🇴 🇬🇧 🇩🇪 🇨🇿 🇫🇮

Meteor Öckeröin yllä 2018-10-07 03:54:04 UTC

KML-tiedosto  |  Interaktiivinen kartta

Kartta näyttää meteorin suuntahavainnot. Vaaleammat viivat näyttävät suunnat havaintoasemilta meteorin ilmestyessä, ja tummemmat viivat näyttävät, missä se viimeksi nähtiin. Sininen nuoli näyttää meteorin näkyvän lennon.

static map
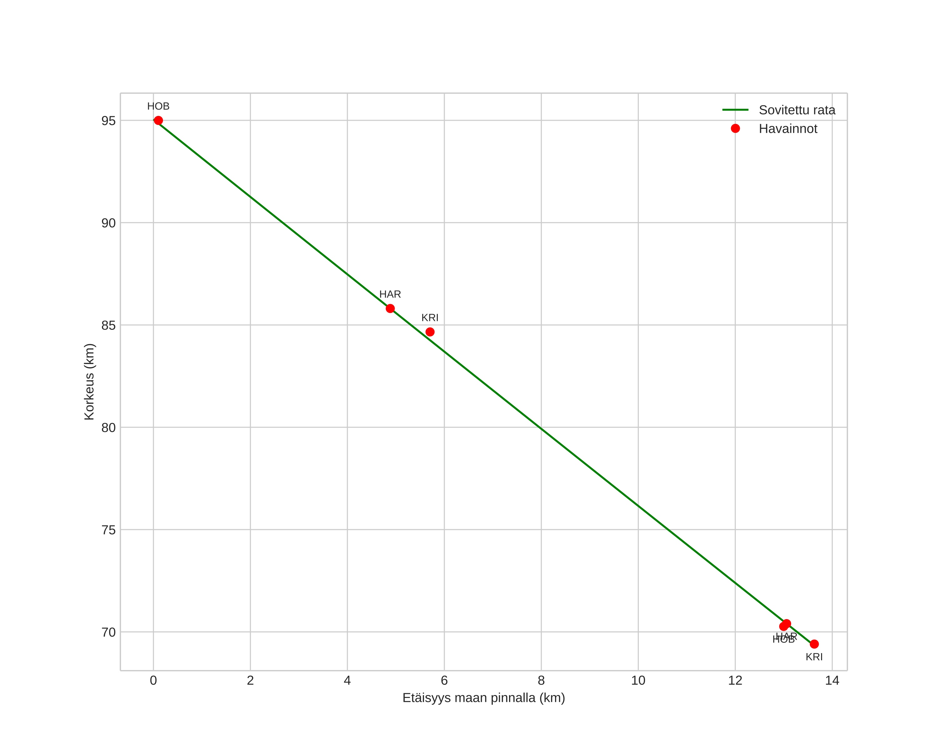
height profile
Meteorin ilmakehärata:
Alkukorkeus: 95,0 km
Loppukorkeus: 69,4 km
Alkupiste: 57,877N 11,585E
Loppupiste: 57,756N 11,623E
Suunta: 170,5°
Kallistuskulma: 62,0°
Tulonopeus: 44,2 km/s
Radiantin R,A,: 02:22 (35,5°)
Radiantin Dekl,: 83,6°
Meteoriparvi: Sporadinen
Meteoroidin rataelementit:
Perihelietäisyys: 0,949 AU
Eksentrisyys: 0,871
Inklinaatio: 72,7°
Nousevan solmun pituus: 193,6°
Perihelin argumentti: 207,1°
Keskianomalia: 359,1°
Epookki: 2018 OCT 07 03:54:04
orbit plot

Ei-interaktiivinen kuvaaja | Interaktiivinen kuvaaja

position vs time
speed and acceleration