🇳🇴 🇬🇧 🇩🇪 🇨🇿 🇫🇮

Meteor über Öckerö 2018-10-07 03:54:04 UTC

KML-Datei  |  Interaktive Karte

Die Karte zeigt die Peilungen für den Meteor. Die helleren Linien zeigen die Richtungen von den Beobachtungsorten beim Erscheinen des Meteors, und die dunkleren Linien, wo er zuletzt gesehen wurde. Der blaue Pfeil zeigt die sichtbare Bahn des Meteors.

static map
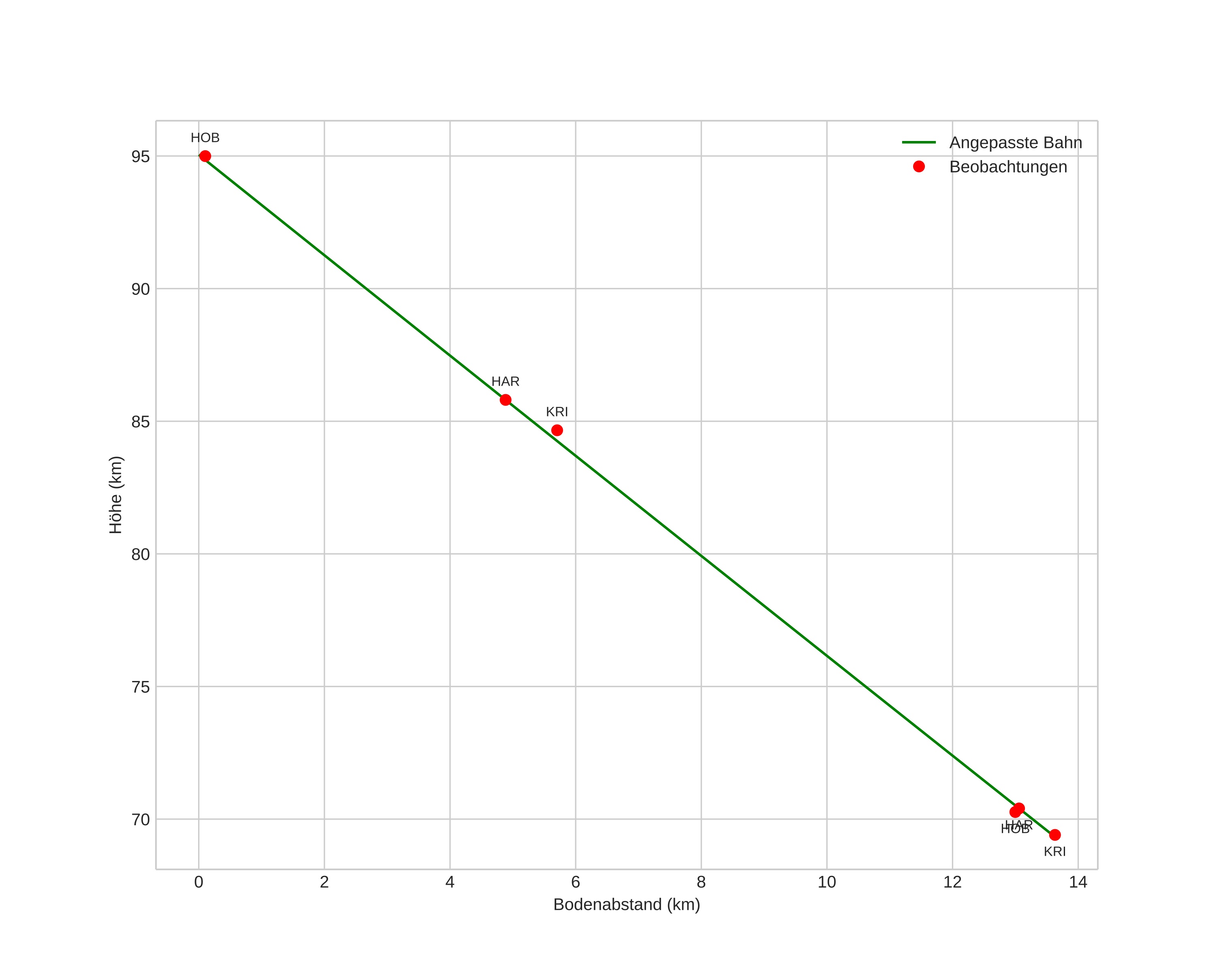
height profile
Atmosphärische Bahn des Meteors:
Anfangshöhe: 95,0 km
Endhöhe: 69,4 km
Startposition: 57,877N 11,585E
Endposition: 57,756N 11,623E
Richtung: 170,5°
Neigungswinkel: 62,0°
Eintrittsgeschwindigkeit: 44,2 km/s
Rektaszension des Radianten: 02:22 (35,5°)
Deklination des Radianten: 83,6°
Meteorstrom: sporadisch
Bahnelemente des Meteoroiden:
Periheldistanz: 0,949 AU
Exzentrizität: 0,871
Inklination: 72,7°
Länge des aufsteigenden Knotens: 193,6°
Argument des Perihels: 207,1°
Mittlere Anomalie: 359,1°
Epoche: 2018 OCT 07 03:54:04
orbit plot

Nicht-interaktives Diagramm | Interaktives Diagramm

position vs time
speed and acceleration