🇳🇴 🇬🇧 🇩🇪 🇨🇿 🇫🇮

Meteor, poloha: Kiruna 2018-10-08 21:39:24 UTC

Soubor KML  |  InteraktivnĂ­ mapa

Mapa zobrazuje dráhy meteoru. Světlejší čáry ukazují směry od pozorovacích stanic při objevení se meteoru a tmavší čáry, kde byl naposledy viděn. Modrá šipka značí viditelnou dráhu meteoru.

static map
height profile
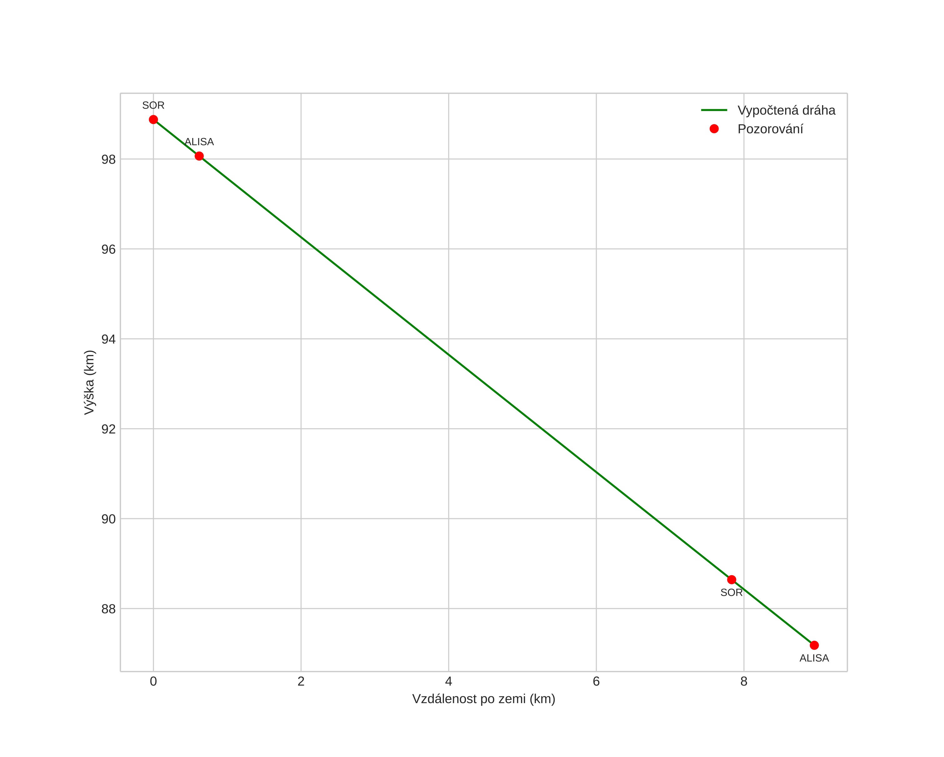
Atmosférická dráha meteoru:
Počáteční výška: 98,9 km
Konečná výška: 87,2 km
Počáteční poloha: 68,577N 20,246E
Konečná poloha: 68,530N 20,425E
Směr: 125,8°
Sklon: 52,6°
VstupnĂ­ rychlost: 23,0 km/s
Rektascenze radiantu: 17:40 (265,1°)
Deklinace radiantu: 57,9°
MeteorickĂ˝ roj: draconidene
Elementy dráhy meteoroidu:
Vzdálenost v periheliu: 0,998 AU
Excentricita: 0,639
Sklon dráhy: 31,6°
Délka vzestupného uzlu: 195,3°
Argument perihelia: 175,4°
Střední anomálie: 0,8°
Epocha: 2018 OCT 08 21:39:24
orbit plot

NeinteraktivnĂ­ graf | InteraktivnĂ­ graf

position vs time
speed and acceleration