🇳🇴 🇬🇧 🇩🇪 🇨🇿 🇫🇮

Meteor über Kiruna 2018-10-08 21:39:24 UTC

KML-Datei  |  Interaktive Karte

Die Karte zeigt die Peilungen für den Meteor. Die helleren Linien zeigen die Richtungen von den Beobachtungsorten beim Erscheinen des Meteors, und die dunkleren Linien, wo er zuletzt gesehen wurde. Der blaue Pfeil zeigt die sichtbare Bahn des Meteors.

static map
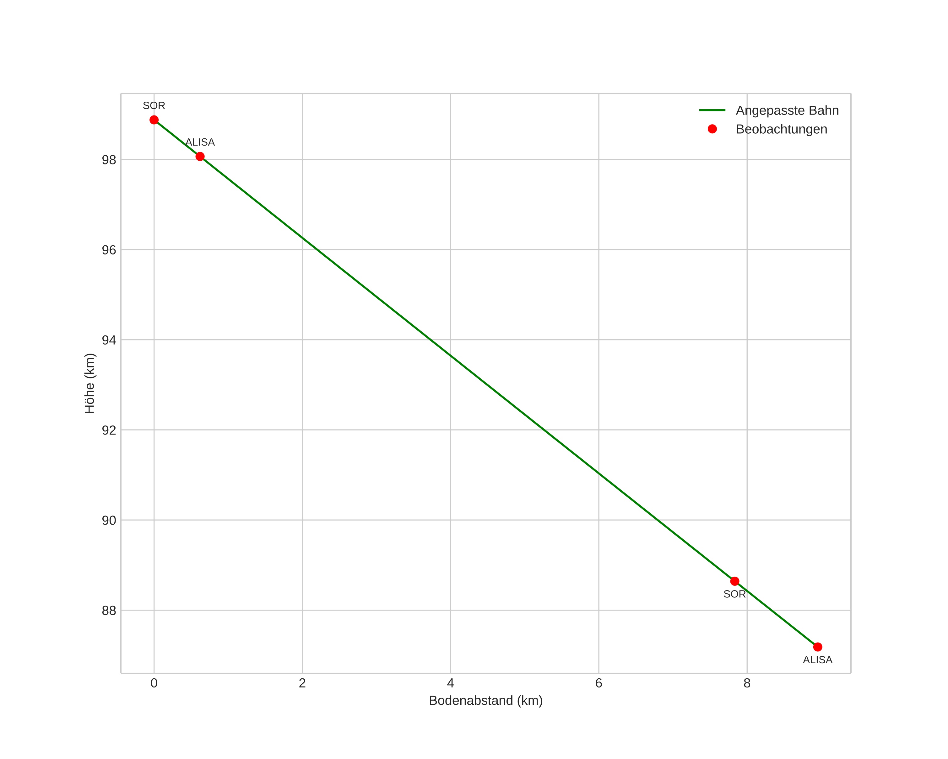
height profile
Atmosphärische Bahn des Meteors:
Anfangshöhe: 98,9 km
Endhöhe: 87,2 km
Startposition: 68,577N 20,246E
Endposition: 68,530N 20,425E
Richtung: 125,8°
Neigungswinkel: 52,6°
Eintrittsgeschwindigkeit: 23,0 km/s
Rektaszension des Radianten: 17:40 (265,1°)
Deklination des Radianten: 57,9°
Meteorstrom: draconidene
Bahnelemente des Meteoroiden:
Periheldistanz: 0,998 AU
Exzentrizität: 0,639
Inklination: 31,6°
Länge des aufsteigenden Knotens: 195,3°
Argument des Perihels: 175,4°
Mittlere Anomalie: 0,8°
Epoche: 2018 OCT 08 21:39:24
orbit plot

Nicht-interaktives Diagramm | Interaktives Diagramm

position vs time
speed and acceleration