🇳🇴 🇬🇧 🇩🇪 🇨🇿 🇫🇮

Meteor Kirunan yllä 2018-10-08 21:39:24 UTC

KML-tiedosto  |  Interaktiivinen kartta

Kartta näyttää meteorin suuntahavainnot. Vaaleammat viivat näyttävät suunnat havaintoasemilta meteorin ilmestyessä, ja tummemmat viivat näyttävät, missä se viimeksi nähtiin. Sininen nuoli näyttää meteorin näkyvän lennon.

static map
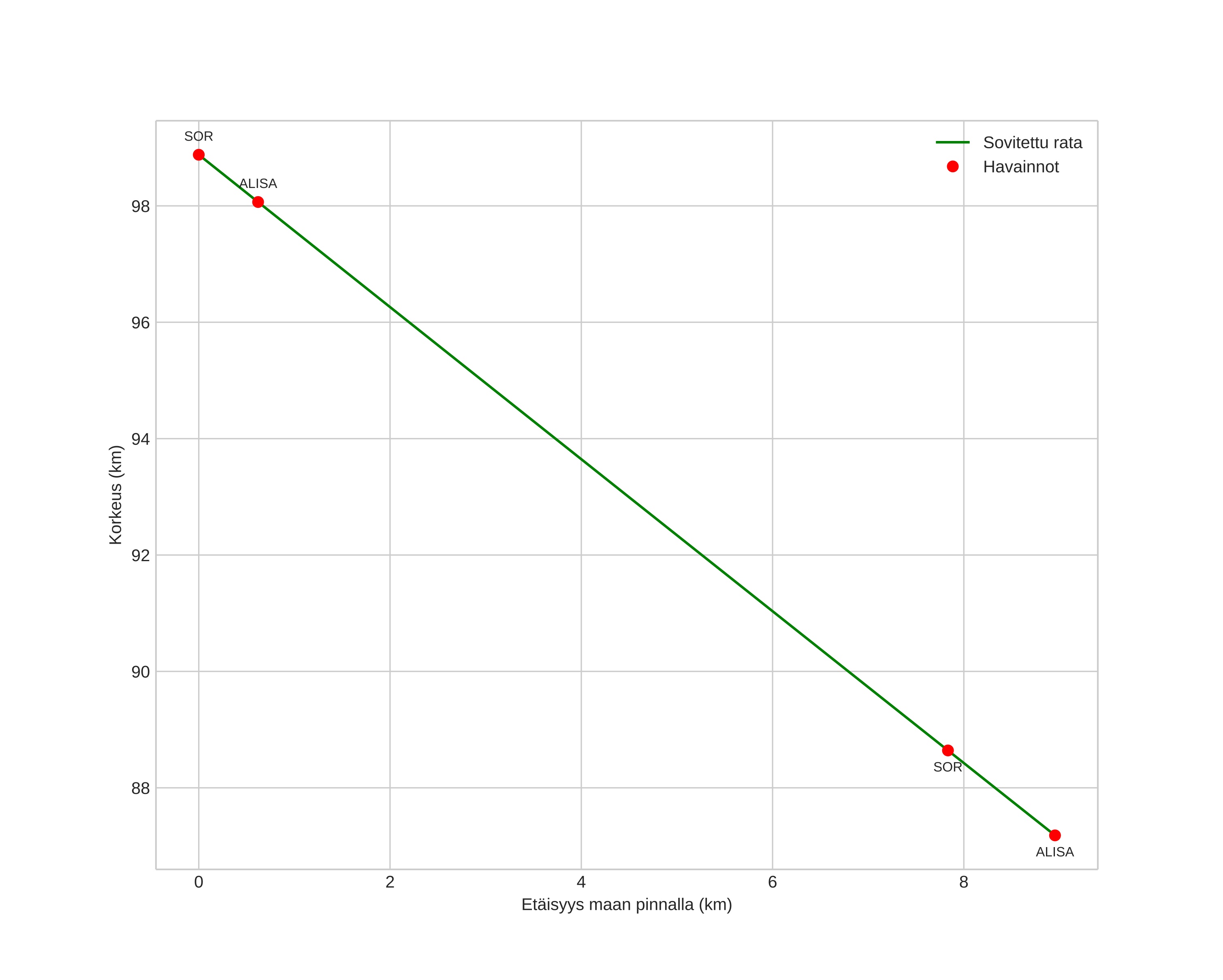
height profile
Meteorin ilmakehärata:
Alkukorkeus: 98,9 km
Loppukorkeus: 87,2 km
Alkupiste: 68,577N 20,246E
Loppupiste: 68,530N 20,425E
Suunta: 125,8°
Kallistuskulma: 52,6°
Tulonopeus: 23,0 km/s
Radiantin R,A,: 17:40 (265,1°)
Radiantin Dekl,: 57,9°
Meteoriparvi: draconidene
Meteoroidin rataelementit:
Perihelietäisyys: 0,998 AU
Eksentrisyys: 0,639
Inklinaatio: 31,6°
Nousevan solmun pituus: 195,3°
Perihelin argumentti: 175,4°
Keskianomalia: 0,8°
Epookki: 2018 OCT 08 21:39:24
orbit plot

Ei-interaktiivinen kuvaaja | Interaktiivinen kuvaaja

position vs time
speed and acceleration