🇳🇴 🇬🇧 🇩🇪 🇨🇿 🇫🇮

Meteor, poloha: Røros 2018-10-20 02:09:24 UTC

Soubor KML  |  InteraktivnĂ­ mapa

Mapa zobrazuje dráhy meteoru. Světlejší čáry ukazují směry od pozorovacích stanic při objevení se meteoru a tmavší čáry, kde byl naposledy viděn. Modrá šipka značí viditelnou dráhu meteoru.

static map
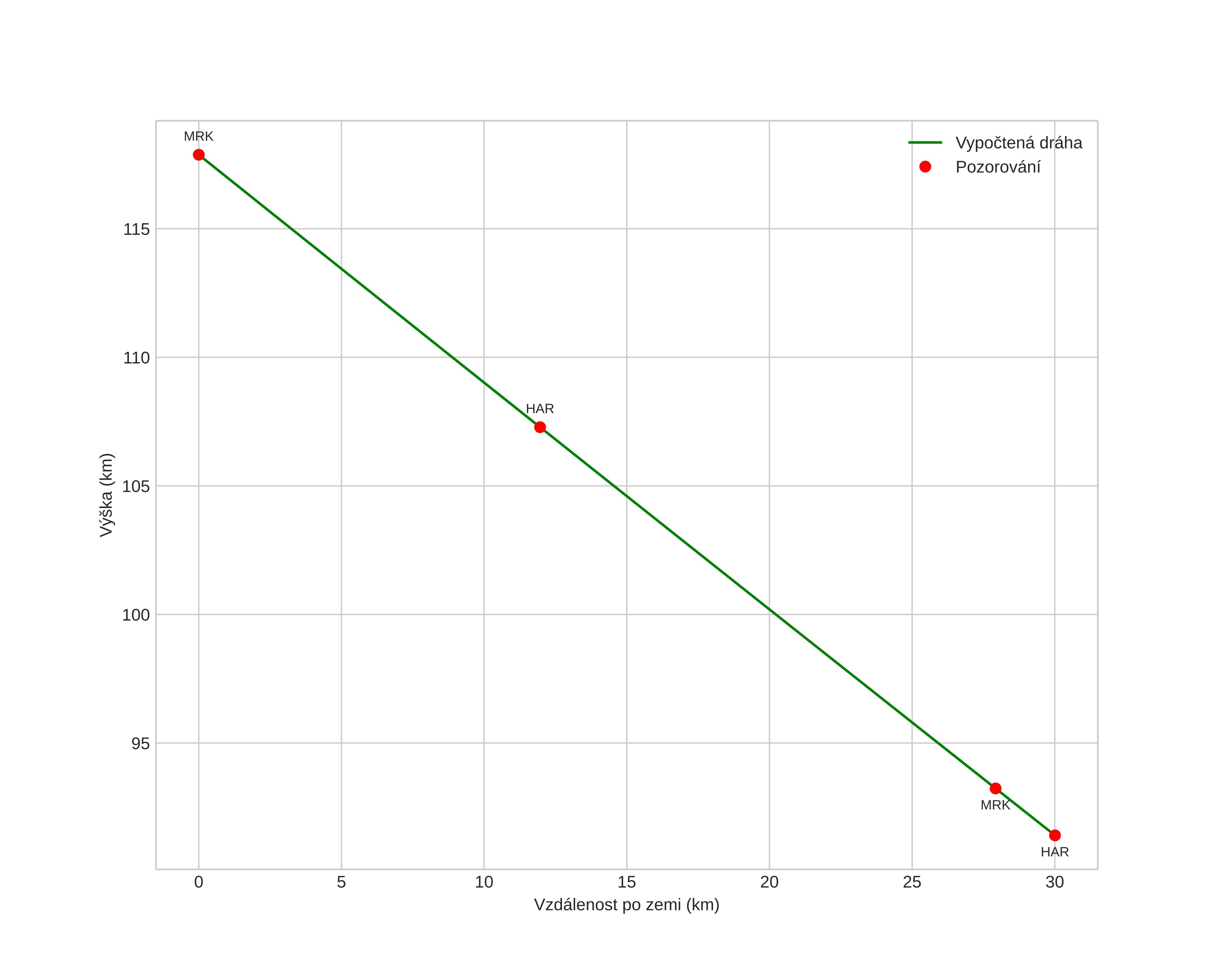
height profile
Atmosférická dráha meteoru:
Počáteční výška: 117,9 km
Konečná výška: 91,4 km
Počáteční poloha: 62,702N 12,075E
Konečná poloha: 62,632N 11,507E
Směr: 255,2°
Sklon: 41,4°
VstupnĂ­ rychlost: 64,6 km/s
Rektascenze radiantu: 10:09 (152,3°)
Deklinace radiantu: 42,4°
MeteorickĂ˝ roj: leo-minoridene
Elementy dráhy meteoroidu:
Vzdálenost v periheliu: 0,775 AU
Excentricita: 1,034
Sklon dráhy: 125,4°
Délka vzestupného uzlu: 206,4°
Argument perihelia: 124,4°
Střední anomálie: 0,3°
Epocha: 2018 OCT 20 02:09:24
orbit plot

NeinteraktivnĂ­ graf | InteraktivnĂ­ graf

position vs time
speed and acceleration