🇳🇴 🇬🇧 🇩🇪 🇨🇿 🇫🇮

Meteor Rørosin yllä 2018-10-20 02:09:24 UTC

KML-tiedosto  |  Interaktiivinen kartta

Kartta näyttää meteorin suuntahavainnot. Vaaleammat viivat näyttävät suunnat havaintoasemilta meteorin ilmestyessä, ja tummemmat viivat näyttävät, missä se viimeksi nähtiin. Sininen nuoli näyttää meteorin näkyvän lennon.

static map
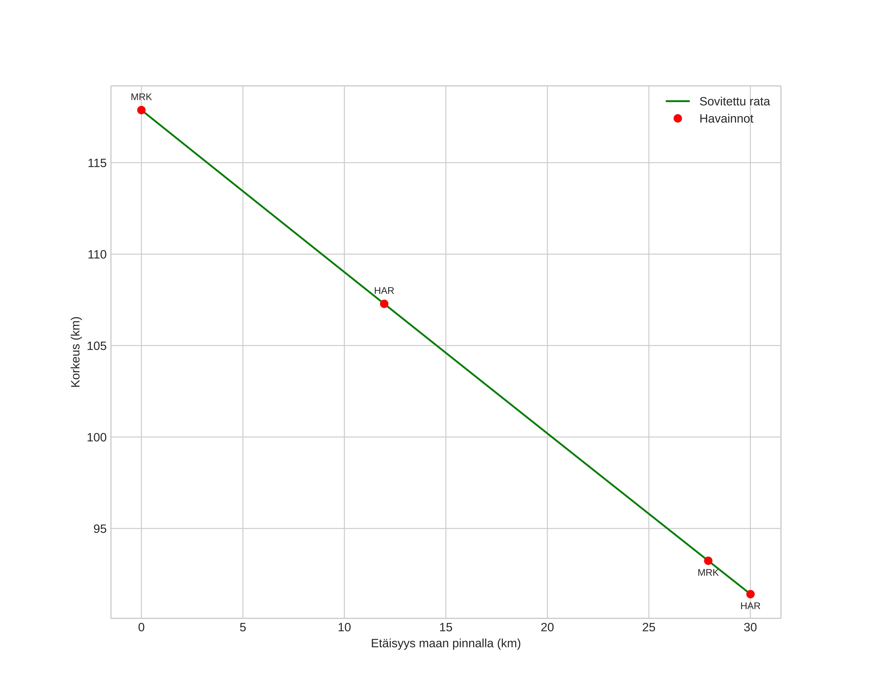
height profile
Meteorin ilmakehärata:
Alkukorkeus: 117,9 km
Loppukorkeus: 91,4 km
Alkupiste: 62,702N 12,075E
Loppupiste: 62,632N 11,507E
Suunta: 255,2°
Kallistuskulma: 41,4°
Tulonopeus: 64,6 km/s
Radiantin R,A,: 10:09 (152,3°)
Radiantin Dekl,: 42,4°
Meteoriparvi: leo-minoridene
Meteoroidin rataelementit:
Perihelietäisyys: 0,775 AU
Eksentrisyys: 1,034
Inklinaatio: 125,4°
Nousevan solmun pituus: 206,4°
Perihelin argumentti: 124,4°
Keskianomalia: 0,3°
Epookki: 2018 OCT 20 02:09:24
orbit plot

Ei-interaktiivinen kuvaaja | Interaktiivinen kuvaaja

position vs time
speed and acceleration