🇳🇴 🇬🇧 🇩🇪 🇨🇿 🇫🇮

Meteor über Røros 2018-10-20 02:09:24 UTC

KML-Datei  |  Interaktive Karte

Die Karte zeigt die Peilungen für den Meteor. Die helleren Linien zeigen die Richtungen von den Beobachtungsorten beim Erscheinen des Meteors, und die dunkleren Linien, wo er zuletzt gesehen wurde. Der blaue Pfeil zeigt die sichtbare Bahn des Meteors.

static map
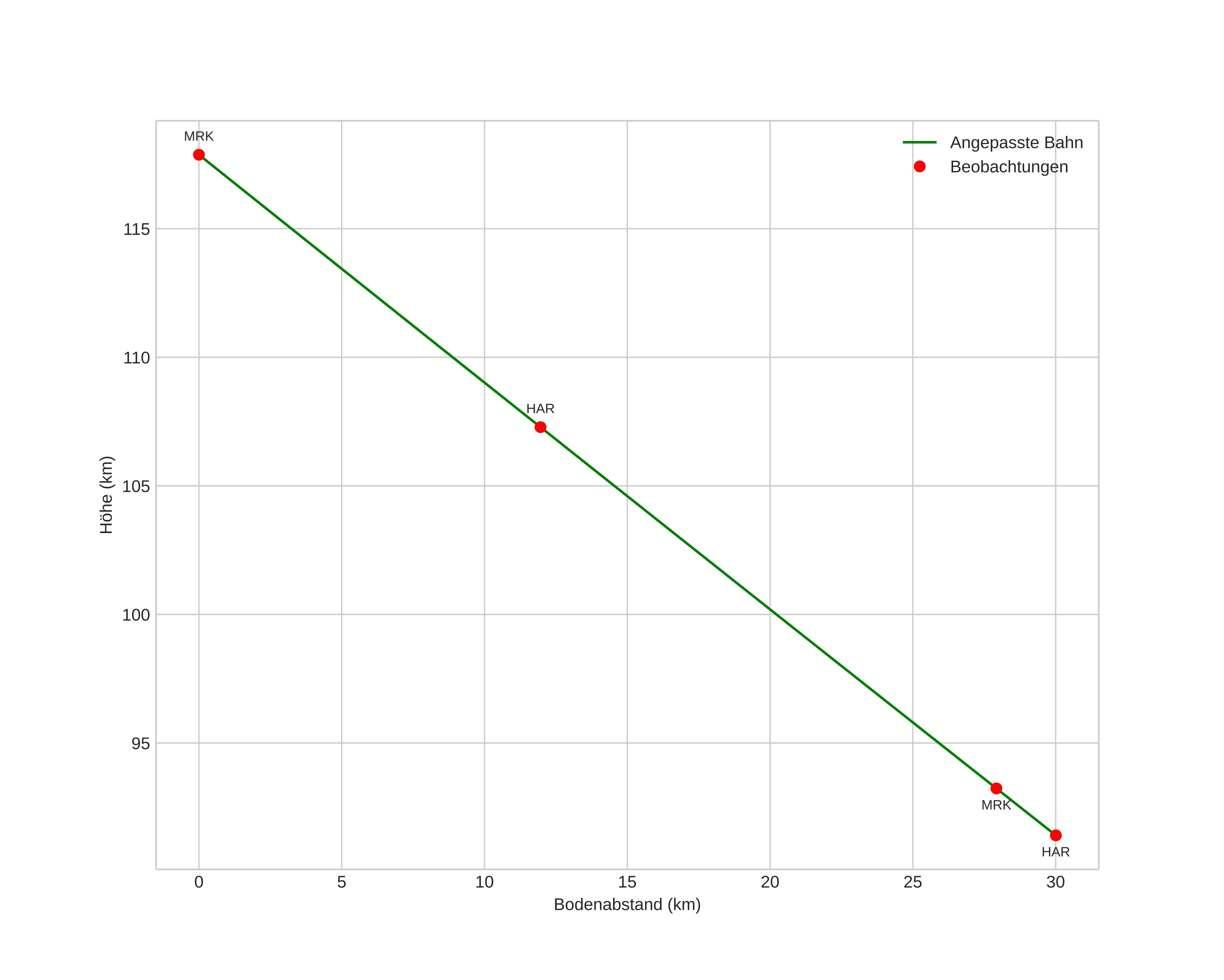
height profile
Atmosphärische Bahn des Meteors:
Anfangshöhe: 117,9 km
Endhöhe: 91,4 km
Startposition: 62,702N 12,075E
Endposition: 62,632N 11,507E
Richtung: 255,2°
Neigungswinkel: 41,4°
Eintrittsgeschwindigkeit: 64,6 km/s
Rektaszension des Radianten: 10:09 (152,3°)
Deklination des Radianten: 42,4°
Meteorstrom: leo-minoridene
Bahnelemente des Meteoroiden:
Periheldistanz: 0,775 AU
Exzentrizität: 1,034
Inklination: 125,4°
Länge des aufsteigenden Knotens: 206,4°
Argument des Perihels: 124,4°
Mittlere Anomalie: 0,3°
Epoche: 2018 OCT 20 02:09:24
orbit plot

Nicht-interaktives Diagramm | Interaktives Diagramm

position vs time
speed and acceleration