🇳🇴 🇬🇧 🇩🇪 🇨🇿 🇫🇮

Meteor, poloha: Sørreisa 2018-10-24 00:01:26 UTC

Soubor KML  |  InteraktivnĂ­ mapa

Mapa zobrazuje dráhy meteoru. Světlejší čáry ukazují směry od pozorovacích stanic při objevení se meteoru a tmavší čáry, kde byl naposledy viděn. Modrá šipka značí viditelnou dráhu meteoru.

static map
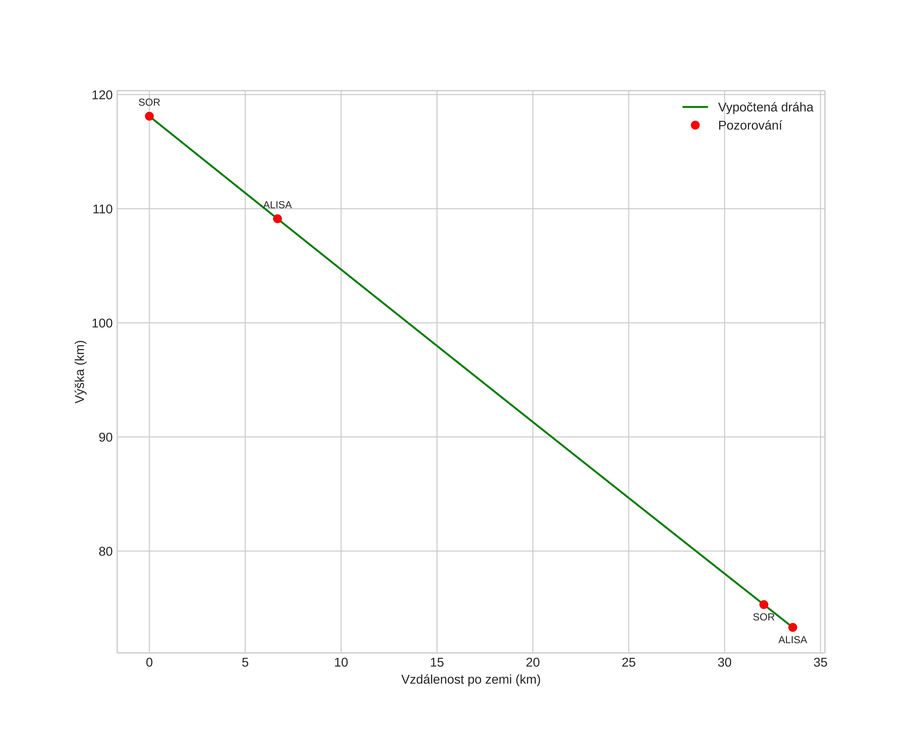
height profile
Atmosférická dráha meteoru:
Počáteční výška: 118,1 km
Konečná výška: 73,3 km
Počáteční poloha: 69,459N 19,132E
Konečná poloha: 69,357N 18,324E
Směr: 250,7°
Sklon: 53,2°
VstupnĂ­ rychlost: 68,2 km/s
Rektascenze radiantu: 08:47 (131,9°)
Deklinace radiantu: 54,9°
MeteorickĂ˝ roj: sporadickĂ˝
Elementy dráhy meteoroidu:
Vzdálenost v periheliu: 0,992 AU
Excentricita: 1,404
Sklon dráhy: 122,4°
Délka vzestupného uzlu: 210,3°
Argument perihelia: 185,4°
Střední anomálie: -0,9°
Epocha: 2018 OCT 24 00:01:26
orbit plot

NeinteraktivnĂ­ graf | InteraktivnĂ­ graf

position vs time
speed and acceleration