🇳🇴 🇬🇧 🇩🇪 🇨🇿 🇫🇮

Meteor Sørreisan yllä 2018-10-24 00:01:26 UTC

KML-tiedosto  |  Interaktiivinen kartta

Kartta näyttää meteorin suuntahavainnot. Vaaleammat viivat näyttävät suunnat havaintoasemilta meteorin ilmestyessä, ja tummemmat viivat näyttävät, missä se viimeksi nähtiin. Sininen nuoli näyttää meteorin näkyvän lennon.

static map
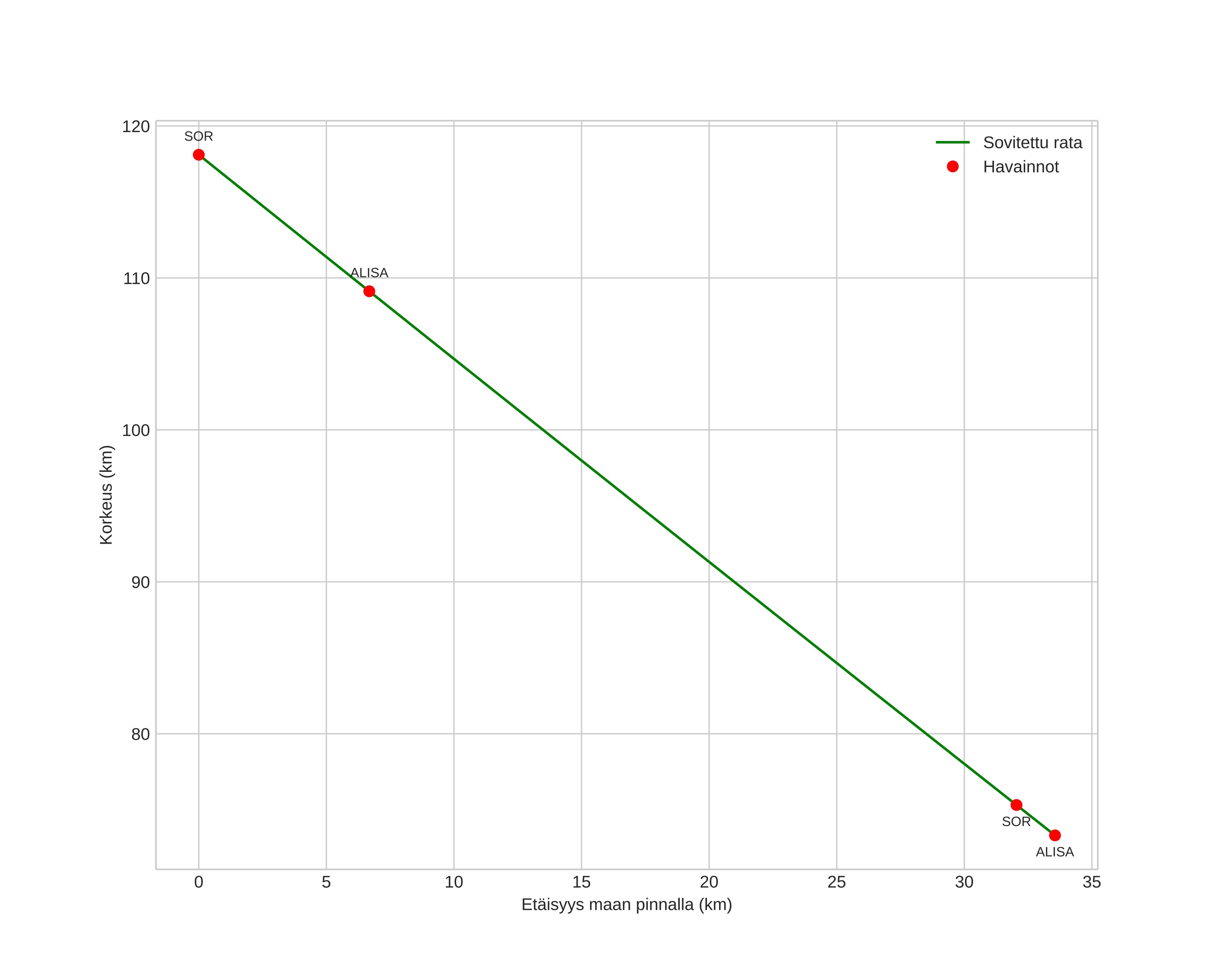
height profile
Meteorin ilmakehärata:
Alkukorkeus: 118,1 km
Loppukorkeus: 73,3 km
Alkupiste: 69,459N 19,132E
Loppupiste: 69,357N 18,324E
Suunta: 250,7°
Kallistuskulma: 53,2°
Tulonopeus: 68,2 km/s
Radiantin R,A,: 08:47 (131,9°)
Radiantin Dekl,: 54,9°
Meteoriparvi: Sporadinen
Meteoroidin rataelementit:
Perihelietäisyys: 0,992 AU
Eksentrisyys: 1,404
Inklinaatio: 122,4°
Nousevan solmun pituus: 210,3°
Perihelin argumentti: 185,4°
Keskianomalia: -0,9°
Epookki: 2018 OCT 24 00:01:26
orbit plot

Ei-interaktiivinen kuvaaja | Interaktiivinen kuvaaja

position vs time
speed and acceleration