🇳🇴 🇬🇧 🇩🇪 🇨🇿 🇫🇮

Meteor über Sørreisa 2018-10-24 00:01:26 UTC

KML-Datei  |  Interaktive Karte

Die Karte zeigt die Peilungen für den Meteor. Die helleren Linien zeigen die Richtungen von den Beobachtungsorten beim Erscheinen des Meteors, und die dunkleren Linien, wo er zuletzt gesehen wurde. Der blaue Pfeil zeigt die sichtbare Bahn des Meteors.

static map
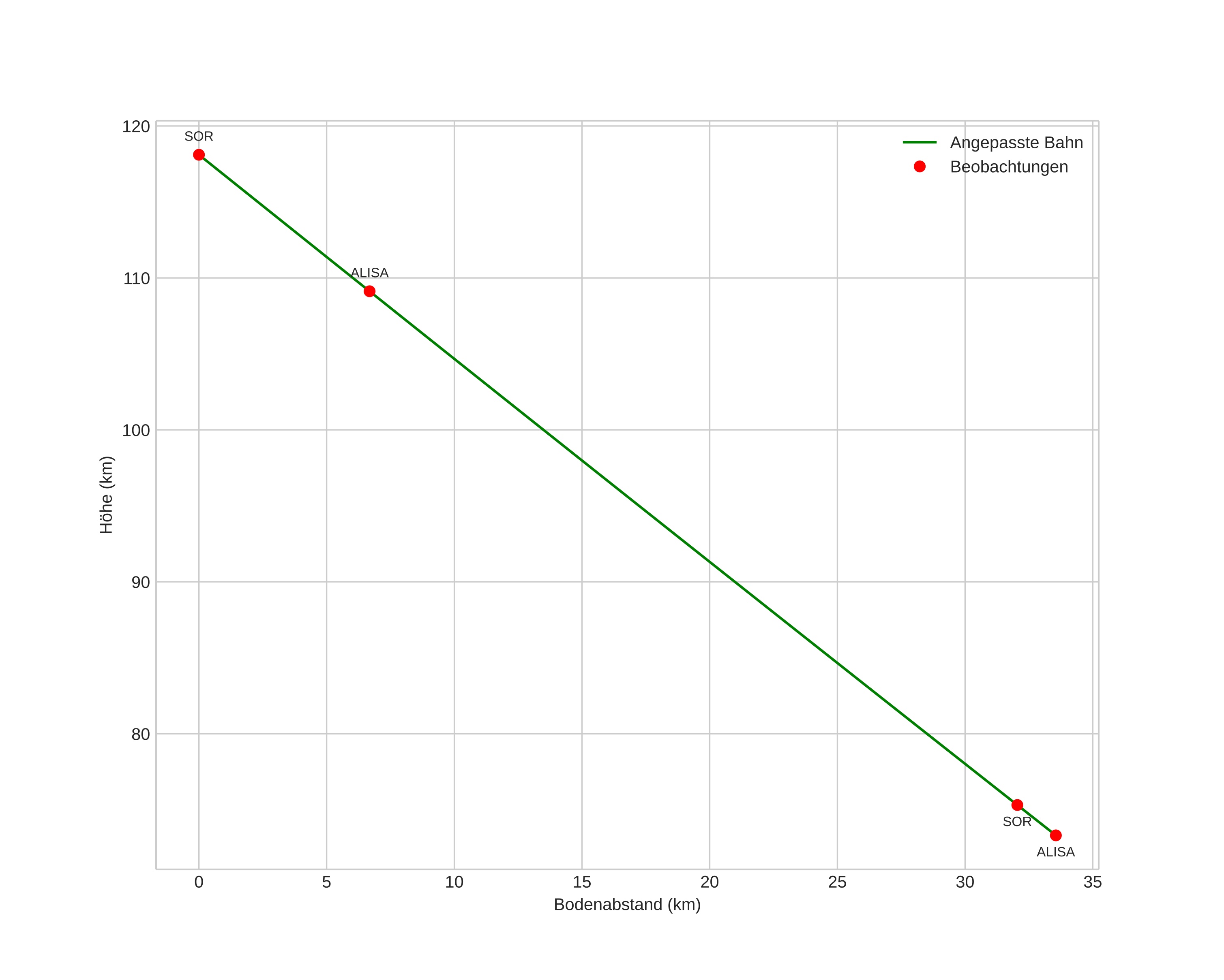
height profile
Atmosphärische Bahn des Meteors:
Anfangshöhe: 118,1 km
Endhöhe: 73,3 km
Startposition: 69,459N 19,132E
Endposition: 69,357N 18,324E
Richtung: 250,7°
Neigungswinkel: 53,2°
Eintrittsgeschwindigkeit: 68,2 km/s
Rektaszension des Radianten: 08:47 (131,9°)
Deklination des Radianten: 54,9°
Meteorstrom: sporadisch
Bahnelemente des Meteoroiden:
Periheldistanz: 0,992 AU
Exzentrizität: 1,404
Inklination: 122,4°
Länge des aufsteigenden Knotens: 210,3°
Argument des Perihels: 185,4°
Mittlere Anomalie: -0,9°
Epoche: 2018 OCT 24 00:01:26
orbit plot

Nicht-interaktives Diagramm | Interaktives Diagramm

position vs time
speed and acceleration