🇳🇴 🇬🇧 🇩🇪 🇨🇿 🇫🇮

Meteor, poloha: Olderdalen 2018-10-29 22:54:47 UTC

Soubor KML  |  InteraktivnĂ­ mapa

Mapa zobrazuje dráhy meteoru. Světlejší čáry ukazují směry od pozorovacích stanic při objevení se meteoru a tmavší čáry, kde byl naposledy viděn. Modrá šipka značí viditelnou dráhu meteoru.

static map
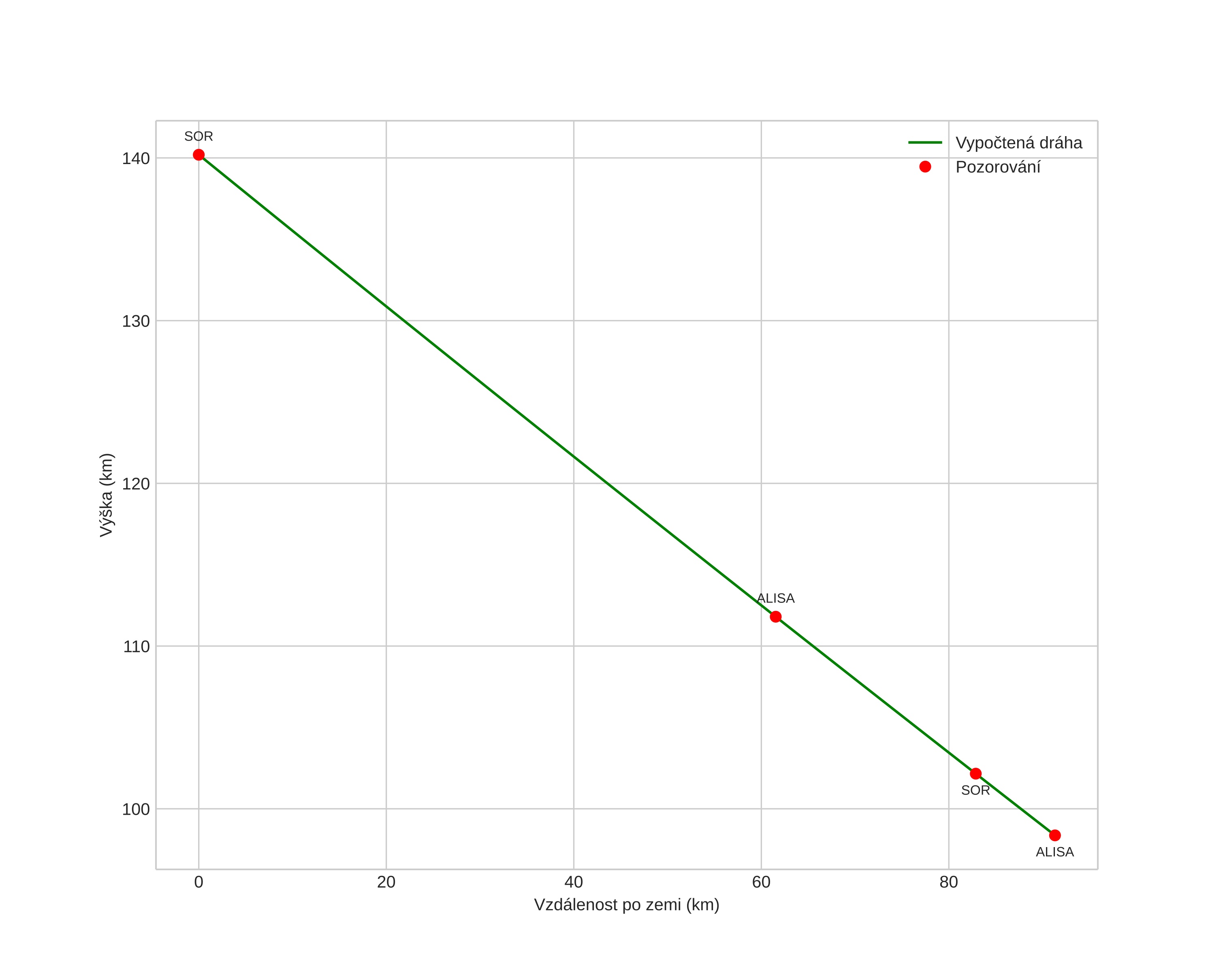
height profile
Atmosférická dráha meteoru:
Počáteční výška: 140,2 km
Konečná výška: 98,4 km
Počáteční poloha: 68,575N 22,997E
Konečná poloha: 68,858N 20,872E
Směr: 291,1°
Sklon: 24,6°
VstupnĂ­ rychlost: 69,9 km/s
Rektascenze radiantu: 07:05 (106,3°)
Deklinace radiantu: 15,1°
MeteorickĂ˝ roj: Orionidy
Elementy dráhy meteoroidu:
Vzdálenost v periheliu: 0,679 AU
Excentricita: 1,030
Sklon dráhy: 165,4°
Délka vzestupného uzlu: 36,2°
Argument perihelia: 67,8°
Střední anomálie: -0,3°
Epocha: 2018 OCT 29 22:54:47
orbit plot

NeinteraktivnĂ­ graf | InteraktivnĂ­ graf

position vs time
speed and acceleration