🇳🇴 🇬🇧 🇩🇪 🇨🇿 🇫🇮

Meteor über Olderdalen 2018-10-29 22:54:47 UTC

KML-Datei  |  Interaktive Karte

Die Karte zeigt die Peilungen für den Meteor. Die helleren Linien zeigen die Richtungen von den Beobachtungsorten beim Erscheinen des Meteors, und die dunkleren Linien, wo er zuletzt gesehen wurde. Der blaue Pfeil zeigt die sichtbare Bahn des Meteors.

static map
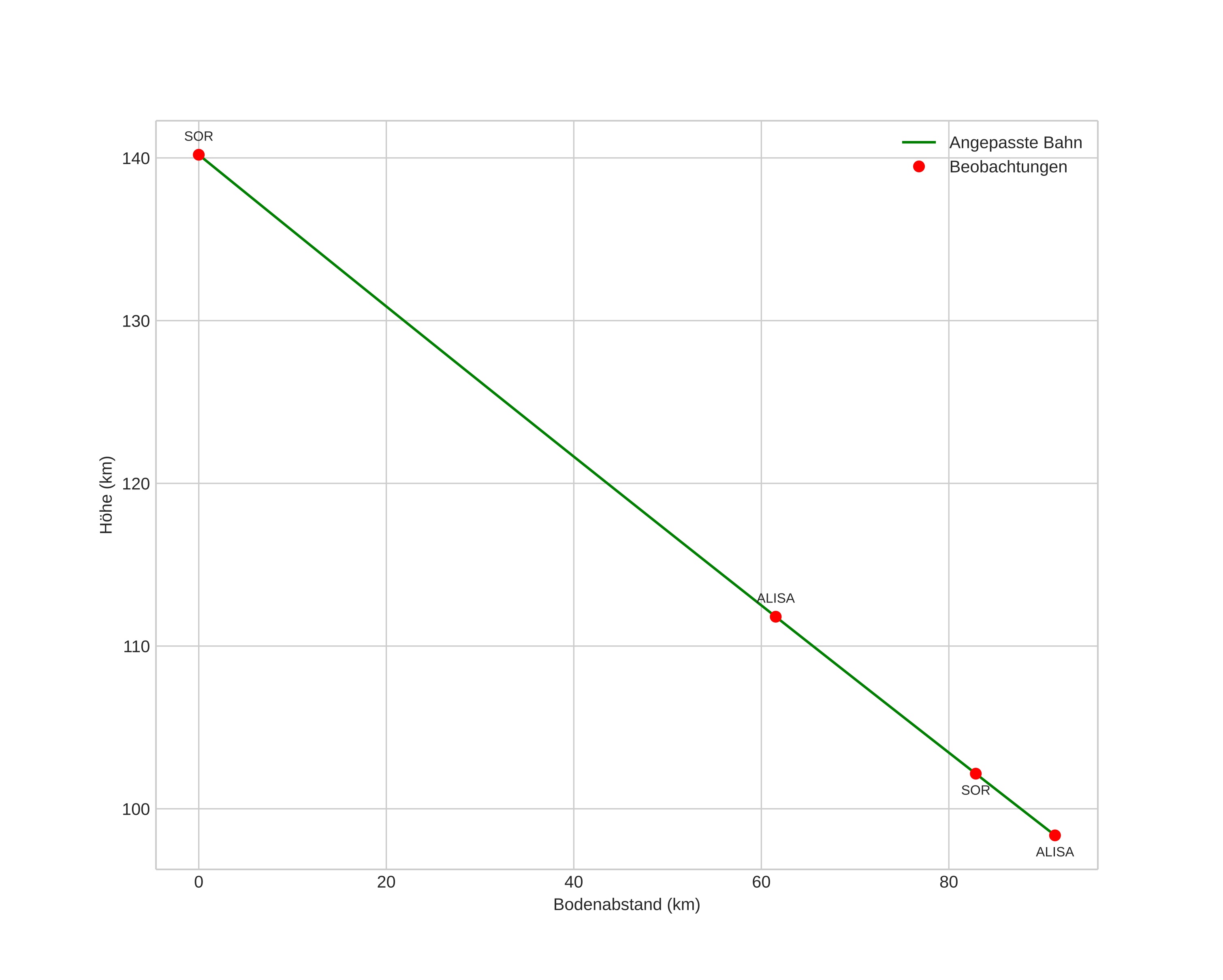
height profile
Atmosphärische Bahn des Meteors:
Anfangshöhe: 140,2 km
Endhöhe: 98,4 km
Startposition: 68,575N 22,997E
Endposition: 68,858N 20,872E
Richtung: 291,1°
Neigungswinkel: 24,6°
Eintrittsgeschwindigkeit: 69,9 km/s
Rektaszension des Radianten: 07:05 (106,3°)
Deklination des Radianten: 15,1°
Meteorstrom: Orioniden
Bahnelemente des Meteoroiden:
Periheldistanz: 0,679 AU
Exzentrizität: 1,030
Inklination: 165,4°
Länge des aufsteigenden Knotens: 36,2°
Argument des Perihels: 67,8°
Mittlere Anomalie: -0,3°
Epoche: 2018 OCT 29 22:54:47
orbit plot

Nicht-interaktives Diagramm | Interaktives Diagramm

position vs time
speed and acceleration