🇳🇴 🇬🇧 🇩🇪 🇨🇿 🇫🇮

Meteor Olderdalenin yllä 2018-10-29 22:54:47 UTC

KML-tiedosto  |  Interaktiivinen kartta

Kartta näyttää meteorin suuntahavainnot. Vaaleammat viivat näyttävät suunnat havaintoasemilta meteorin ilmestyessä, ja tummemmat viivat näyttävät, missä se viimeksi nähtiin. Sininen nuoli näyttää meteorin näkyvän lennon.

static map
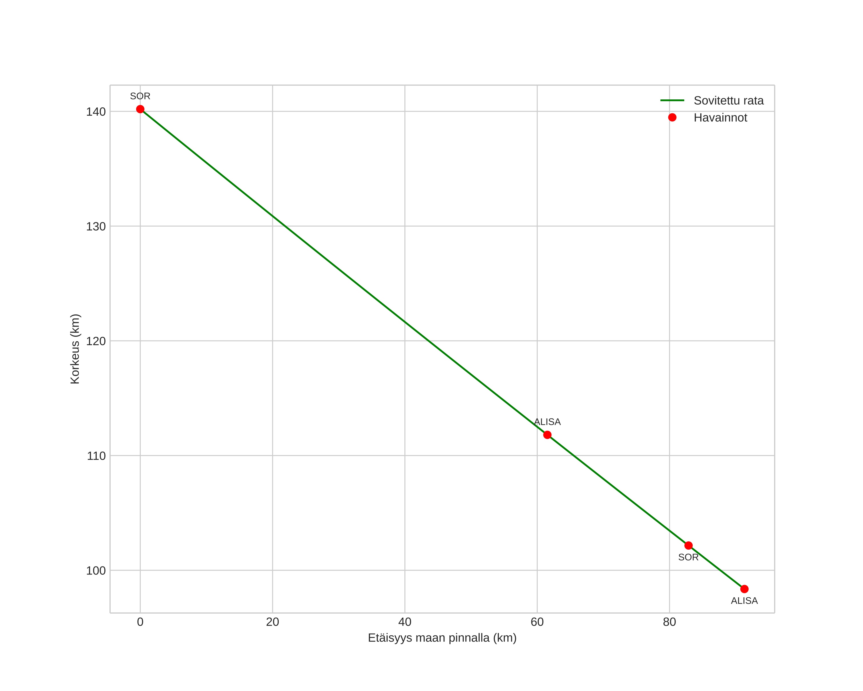
height profile
Meteorin ilmakehärata:
Alkukorkeus: 140,2 km
Loppukorkeus: 98,4 km
Alkupiste: 68,575N 22,997E
Loppupiste: 68,858N 20,872E
Suunta: 291,1°
Kallistuskulma: 24,6°
Tulonopeus: 69,9 km/s
Radiantin R,A,: 07:05 (106,3°)
Radiantin Dekl,: 15,1°
Meteoriparvi: Orionidit
Meteoroidin rataelementit:
Perihelietäisyys: 0,679 AU
Eksentrisyys: 1,030
Inklinaatio: 165,4°
Nousevan solmun pituus: 36,2°
Perihelin argumentti: 67,8°
Keskianomalia: -0,3°
Epookki: 2018 OCT 29 22:54:47
orbit plot

Ei-interaktiivinen kuvaaja | Interaktiivinen kuvaaja

position vs time
speed and acceleration