🇳🇴 🇬🇧 🇩🇪 🇨🇿 🇫🇮

Meteor, poloha: Myre 2018-11-19 02:43:08 UTC

Soubor KML  |  InteraktivnĂ­ mapa

Mapa zobrazuje dráhy meteoru. Světlejší čáry ukazují směry od pozorovacích stanic při objevení se meteoru a tmavší čáry, kde byl naposledy viděn. Modrá šipka značí viditelnou dráhu meteoru.

static map
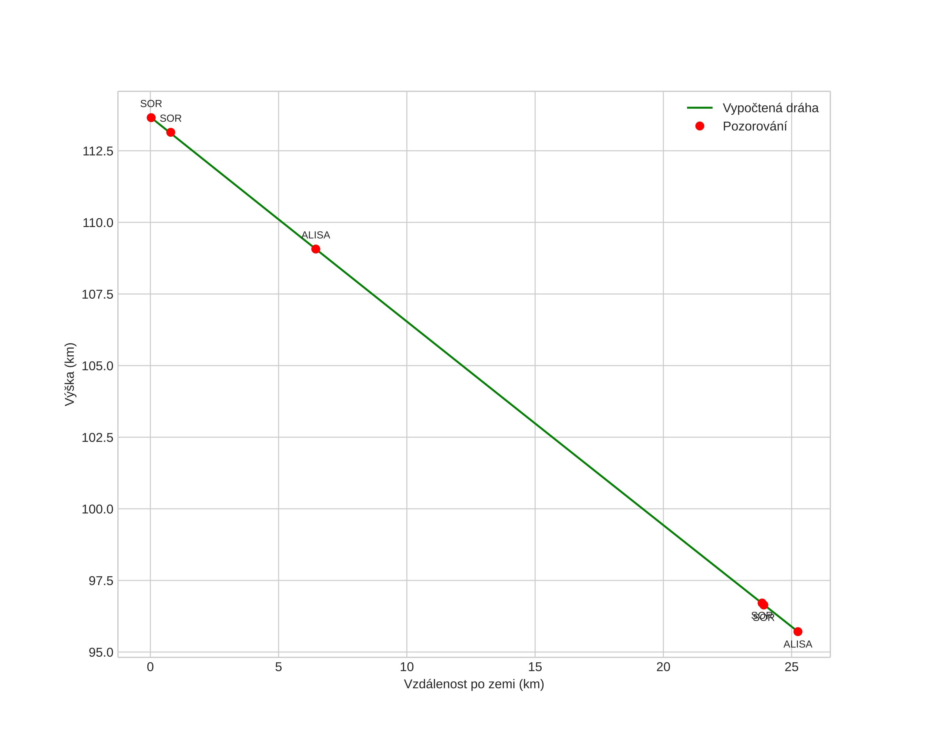
height profile
Atmosférická dráha meteoru:
Počáteční výška: 113,7 km
Konečná výška: 95,7 km
Počáteční poloha: 68,641N 15,414E
Konečná poloha: 68,783N 14,925E
Směr: 308,9°
Sklon: 35,5°
VstupnĂ­ rychlost: 73,0 km/s
Rektascenze radiantu: 10:26 (156,6°)
Deklinace radiantu: 20,5°
MeteorickĂ˝ roj: Leonidy
Elementy dráhy meteoroidu:
Vzdálenost v periheliu: 0,975 AU
Excentricita: 1,040
Sklon dráhy: 162,9°
Délka vzestupného uzlu: 236,5°
Argument perihelia: 166,9°
Střední anomálie: 0,1°
Epocha: 2018 NOV 19 02:43:08
orbit plot

NeinteraktivnĂ­ graf | InteraktivnĂ­ graf

position vs time
speed and acceleration