🇳🇴 🇬🇧 🇩🇪 🇨🇿 🇫🇮

Meteor über Myre 2018-11-19 02:43:08 UTC

KML-Datei  |  Interaktive Karte

Die Karte zeigt die Peilungen für den Meteor. Die helleren Linien zeigen die Richtungen von den Beobachtungsorten beim Erscheinen des Meteors, und die dunkleren Linien, wo er zuletzt gesehen wurde. Der blaue Pfeil zeigt die sichtbare Bahn des Meteors.

static map
height profile
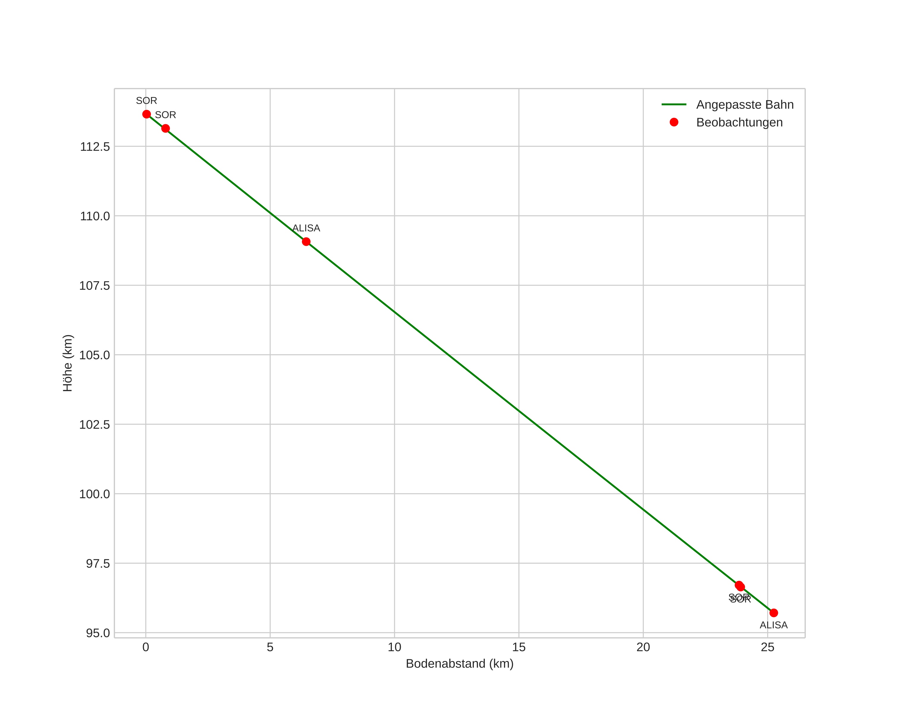
Atmosphärische Bahn des Meteors:
Anfangshöhe: 113,7 km
Endhöhe: 95,7 km
Startposition: 68,641N 15,414E
Endposition: 68,783N 14,925E
Richtung: 308,9°
Neigungswinkel: 35,5°
Eintrittsgeschwindigkeit: 73,0 km/s
Rektaszension des Radianten: 10:26 (156,6°)
Deklination des Radianten: 20,5°
Meteorstrom: Leoniden
Bahnelemente des Meteoroiden:
Periheldistanz: 0,975 AU
Exzentrizität: 1,040
Inklination: 162,9°
Länge des aufsteigenden Knotens: 236,5°
Argument des Perihels: 166,9°
Mittlere Anomalie: 0,1°
Epoche: 2018 NOV 19 02:43:08
orbit plot

Nicht-interaktives Diagramm | Interaktives Diagramm

position vs time
speed and acceleration