🇳🇴 🇬🇧 🇩🇪 🇨🇿 🇫🇮

Meteor Myren yllä 2018-11-19 02:43:08 UTC

KML-tiedosto  |  Interaktiivinen kartta

Kartta näyttää meteorin suuntahavainnot. Vaaleammat viivat näyttävät suunnat havaintoasemilta meteorin ilmestyessä, ja tummemmat viivat näyttävät, missä se viimeksi nähtiin. Sininen nuoli näyttää meteorin näkyvän lennon.

static map
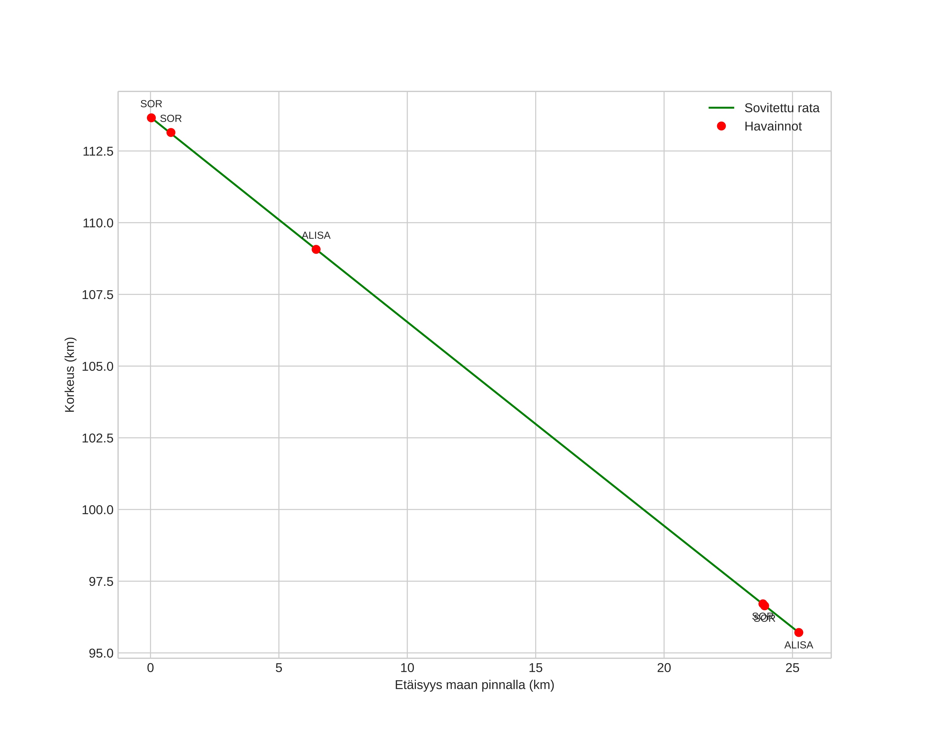
height profile
Meteorin ilmakehärata:
Alkukorkeus: 113,7 km
Loppukorkeus: 95,7 km
Alkupiste: 68,641N 15,414E
Loppupiste: 68,783N 14,925E
Suunta: 308,9°
Kallistuskulma: 35,5°
Tulonopeus: 73,0 km/s
Radiantin R,A,: 10:26 (156,6°)
Radiantin Dekl,: 20,5°
Meteoriparvi: Leonidit
Meteoroidin rataelementit:
Perihelietäisyys: 0,975 AU
Eksentrisyys: 1,040
Inklinaatio: 162,9°
Nousevan solmun pituus: 236,5°
Perihelin argumentti: 166,9°
Keskianomalia: 0,1°
Epookki: 2018 NOV 19 02:43:08
orbit plot

Ei-interaktiivinen kuvaaja | Interaktiivinen kuvaaja

position vs time
speed and acceleration