🇳🇴 🇬🇧 🇩🇪 🇨🇿 🇫🇮

Meteor, poloha: Bogen 2018-12-22 07:31:13 UTC

Soubor KML  |  InteraktivnĂ­ mapa

Mapa zobrazuje dráhy meteoru. Světlejší čáry ukazují směry od pozorovacích stanic při objevení se meteoru a tmavší čáry, kde byl naposledy viděn. Modrá šipka značí viditelnou dráhu meteoru.

static map
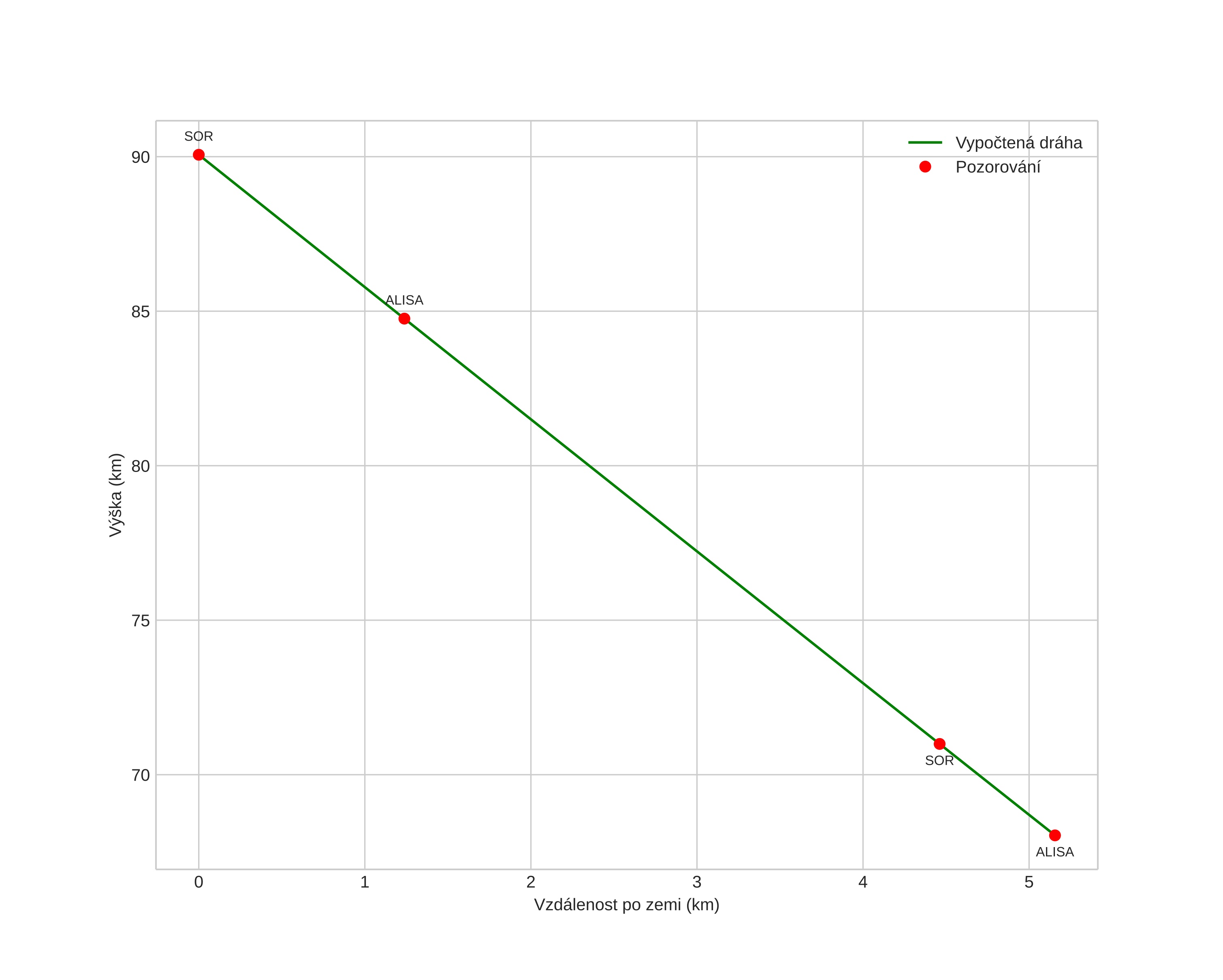
height profile
Atmosférická dráha meteoru:
Počáteční výška: 92,8 km
Konečná výška: 68,3 km
Počáteční poloha: 68,309N 16,795E
Konečná poloha: 68,360N 16,804E
Směr: 3,5°
Sklon: 76,8°
VstupnĂ­ rychlost: 43,4 km/s
Rektascenze radiantu: 14:33 (218,4°)
Deklinace radiantu: 54,9°
MeteorickĂ˝ roj: sporadickĂ˝
Elementy dráhy meteoroidu:
Vzdálenost v periheliu: 0,984 AU
Excentricita: 0,699
Sklon dráhy: 73,2°
Délka vzestupného uzlu: 270,1°
Argument perihelia: 180,2°
Střední anomálie: 360,0°
Epocha: 2018 DEC 22 07:31:13
orbit plot

NeinteraktivnĂ­ graf | InteraktivnĂ­ graf

position vs time
speed and acceleration