🇳🇴 🇬🇧 🇩🇪 🇨🇿 🇫🇮

Meteor über Bogen 2018-12-22 07:31:13 UTC

KML-Datei  |  Interaktive Karte

Die Karte zeigt die Peilungen für den Meteor. Die helleren Linien zeigen die Richtungen von den Beobachtungsorten beim Erscheinen des Meteors, und die dunkleren Linien, wo er zuletzt gesehen wurde. Der blaue Pfeil zeigt die sichtbare Bahn des Meteors.

static map
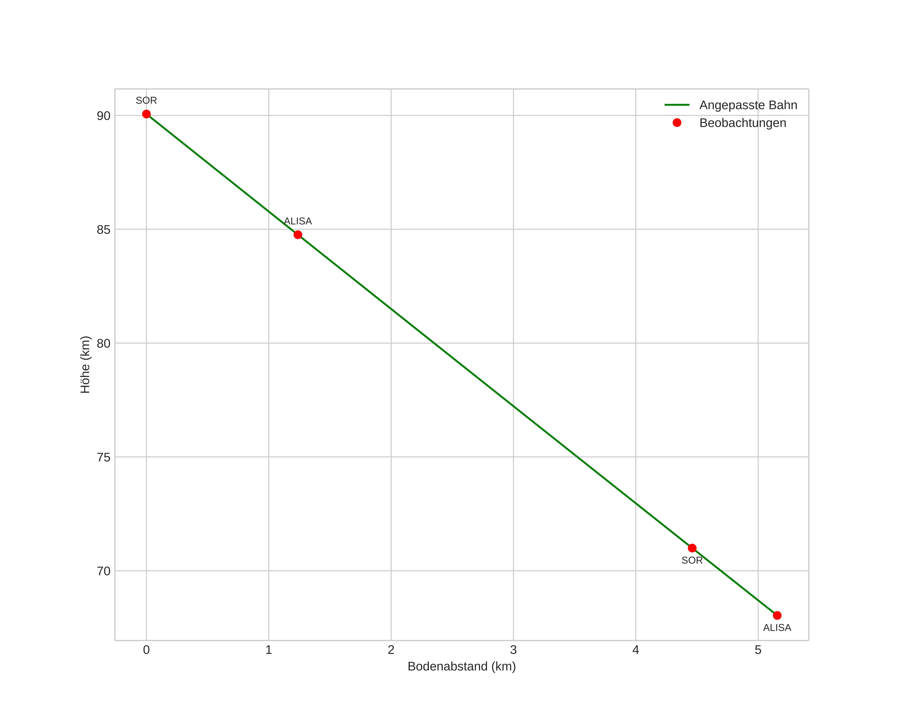
height profile
Atmosphärische Bahn des Meteors:
Anfangshöhe: 92,8 km
Endhöhe: 68,3 km
Startposition: 68,309N 16,795E
Endposition: 68,360N 16,804E
Richtung: 3,5°
Neigungswinkel: 76,8°
Eintrittsgeschwindigkeit: 43,4 km/s
Rektaszension des Radianten: 14:33 (218,4°)
Deklination des Radianten: 54,9°
Meteorstrom: sporadisch
Bahnelemente des Meteoroiden:
Periheldistanz: 0,984 AU
Exzentrizität: 0,699
Inklination: 73,2°
Länge des aufsteigenden Knotens: 270,1°
Argument des Perihels: 180,2°
Mittlere Anomalie: 360,0°
Epoche: 2018 DEC 22 07:31:13
orbit plot

Nicht-interaktives Diagramm | Interaktives Diagramm

position vs time
speed and acceleration