🇳🇴 🇬🇧 🇩🇪 🇨🇿 🇫🇮

Meteor Bogenin yllä 2018-12-22 07:31:13 UTC

KML-tiedosto  |  Interaktiivinen kartta

Kartta näyttää meteorin suuntahavainnot. Vaaleammat viivat näyttävät suunnat havaintoasemilta meteorin ilmestyessä, ja tummemmat viivat näyttävät, missä se viimeksi nähtiin. Sininen nuoli näyttää meteorin näkyvän lennon.

static map
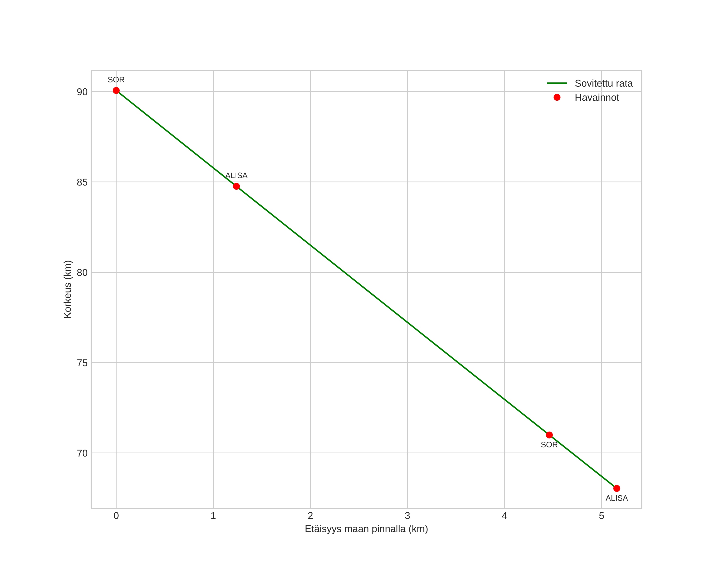
height profile
Meteorin ilmakehärata:
Alkukorkeus: 92,8 km
Loppukorkeus: 68,3 km
Alkupiste: 68,309N 16,795E
Loppupiste: 68,360N 16,804E
Suunta: 3,5°
Kallistuskulma: 76,8°
Tulonopeus: 43,4 km/s
Radiantin R,A,: 14:33 (218,4°)
Radiantin Dekl,: 54,9°
Meteoriparvi: Sporadinen
Meteoroidin rataelementit:
Perihelietäisyys: 0,984 AU
Eksentrisyys: 0,699
Inklinaatio: 73,2°
Nousevan solmun pituus: 270,1°
Perihelin argumentti: 180,2°
Keskianomalia: 360,0°
Epookki: 2018 DEC 22 07:31:13
orbit plot

Ei-interaktiivinen kuvaaja | Interaktiivinen kuvaaja

position vs time
speed and acceleration