🇳🇴 🇬🇧 🇩🇪 🇨🇿 🇫🇮

Meteor, poloha: Sand 2018-12-22 21:50:55 UTC

Soubor KML  |  InteraktivnĂ­ mapa

Mapa zobrazuje dráhy meteoru. Světlejší čáry ukazují směry od pozorovacích stanic při objevení se meteoru a tmavší čáry, kde byl naposledy viděn. Modrá šipka značí viditelnou dráhu meteoru.

static map
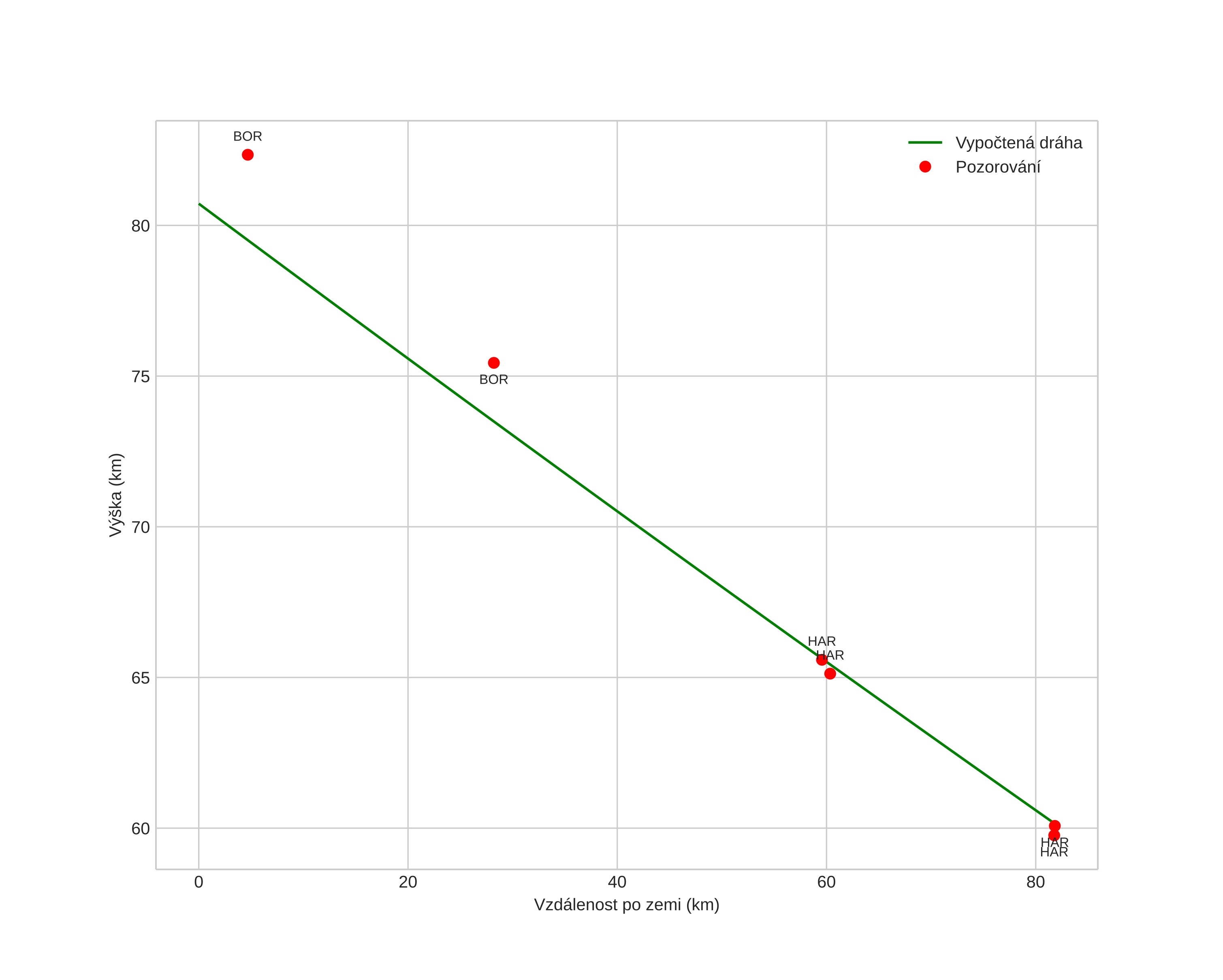
height profile
Atmosférická dráha meteoru:
Počáteční výška: 80,5 km
Konečná výška: 60,0 km
Počáteční poloha: 60,617N 13,059E
Konečná poloha: 60,417N 11,603E
Směr: 255,0°
Sklon: 13,9°
VstupnĂ­ rychlost: 28,2 km/s
Rektascenze radiantu: 11:20 (170,0°)
Deklinace radiantu: 16,3°
MeteorickĂ˝ roj: sporadickĂ˝
Elementy dráhy meteoroidu:
Vzdálenost v periheliu: 0,035 AU
Excentricita: 0,934
Sklon dráhy: 39,0°
Délka vzestupného uzlu: 270,7°
Argument perihelia: 356,2°
Střední anomálie: 219,4°
Epocha: 2018 DEC 22 21:50:55
orbit plot

NeinteraktivnĂ­ graf | InteraktivnĂ­ graf

position vs time
speed and acceleration