🇳🇴 🇬🇧 🇩🇪 🇨🇿 🇫🇮

Meteor Sandin yllä 2018-12-22 21:50:55 UTC

KML-tiedosto  |  Interaktiivinen kartta

Kartta näyttää meteorin suuntahavainnot. Vaaleammat viivat näyttävät suunnat havaintoasemilta meteorin ilmestyessä, ja tummemmat viivat näyttävät, missä se viimeksi nähtiin. Sininen nuoli näyttää meteorin näkyvän lennon.

static map
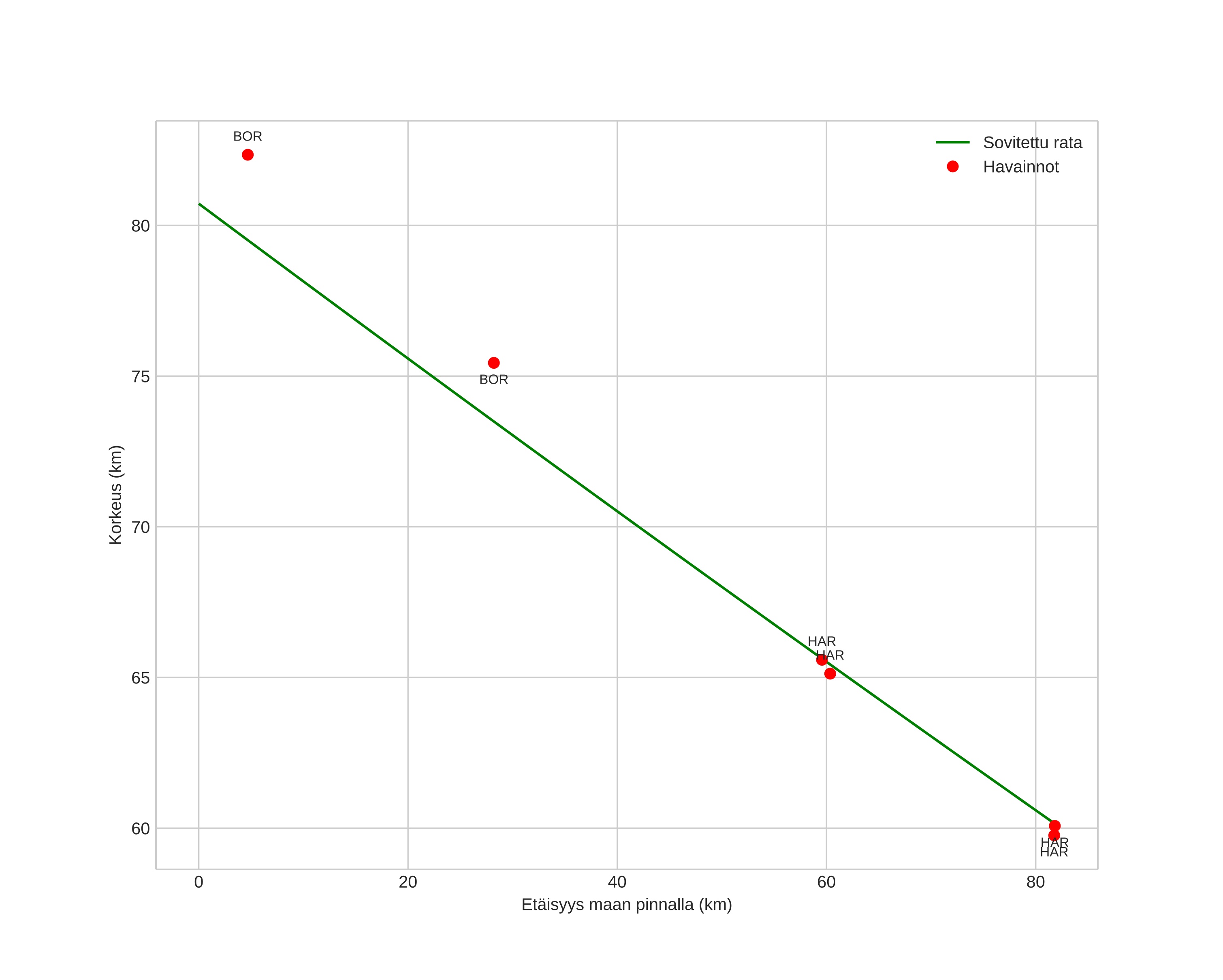
height profile
Meteorin ilmakehärata:
Alkukorkeus: 80,5 km
Loppukorkeus: 60,0 km
Alkupiste: 60,617N 13,059E
Loppupiste: 60,417N 11,603E
Suunta: 255,0°
Kallistuskulma: 13,9°
Tulonopeus: 28,2 km/s
Radiantin R,A,: 11:20 (170,0°)
Radiantin Dekl,: 16,3°
Meteoriparvi: Sporadinen
Meteoroidin rataelementit:
Perihelietäisyys: 0,035 AU
Eksentrisyys: 0,934
Inklinaatio: 39,0°
Nousevan solmun pituus: 270,7°
Perihelin argumentti: 356,2°
Keskianomalia: 219,4°
Epookki: 2018 DEC 22 21:50:55
orbit plot

Ei-interaktiivinen kuvaaja | Interaktiivinen kuvaaja

position vs time
speed and acceleration