🇳🇴 🇬🇧 🇩🇪 🇨🇿 🇫🇮

Meteor über Sand 2018-12-22 21:50:55 UTC

KML-Datei  |  Interaktive Karte

Die Karte zeigt die Peilungen für den Meteor. Die helleren Linien zeigen die Richtungen von den Beobachtungsorten beim Erscheinen des Meteors, und die dunkleren Linien, wo er zuletzt gesehen wurde. Der blaue Pfeil zeigt die sichtbare Bahn des Meteors.

static map
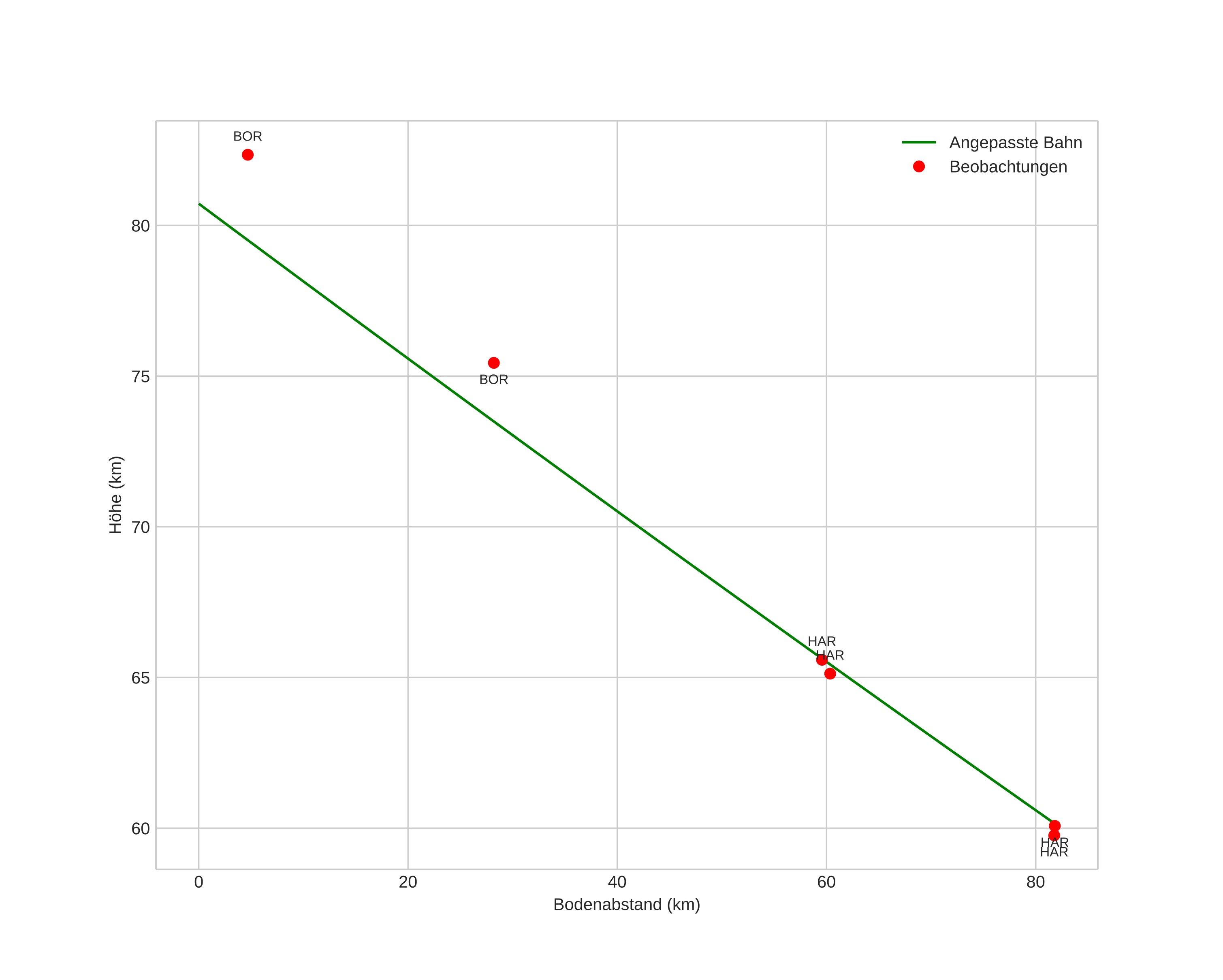
height profile
Atmosphärische Bahn des Meteors:
Anfangshöhe: 80,5 km
Endhöhe: 60,0 km
Startposition: 60,617N 13,059E
Endposition: 60,417N 11,603E
Richtung: 255,0°
Neigungswinkel: 13,9°
Eintrittsgeschwindigkeit: 28,2 km/s
Rektaszension des Radianten: 11:20 (170,0°)
Deklination des Radianten: 16,3°
Meteorstrom: sporadisch
Bahnelemente des Meteoroiden:
Periheldistanz: 0,035 AU
Exzentrizität: 0,934
Inklination: 39,0°
Länge des aufsteigenden Knotens: 270,7°
Argument des Perihels: 356,2°
Mittlere Anomalie: 219,4°
Epoche: 2018 DEC 22 21:50:55
orbit plot

Nicht-interaktives Diagramm | Interaktives Diagramm

position vs time
speed and acceleration