🇳🇴 🇬🇧 🇩🇪 🇨🇿 🇫🇮

Meteor, poloha: Spetalen 2018-12-24 02:56:59 UTC

Harestua – 3
Harestua – 3
Harestua – 4
Harestua – 4

Soubor KML  | Interaktivní mapa

map

Mapa zobrazuje dráhy meteoru. Světlejší čáry ukazují směry od pozorovacích stanic při objevení se meteoru a tmavší čáry, kde byl naposledy viděn. Modrá šipka značí viditelnou dráhu meteoru.

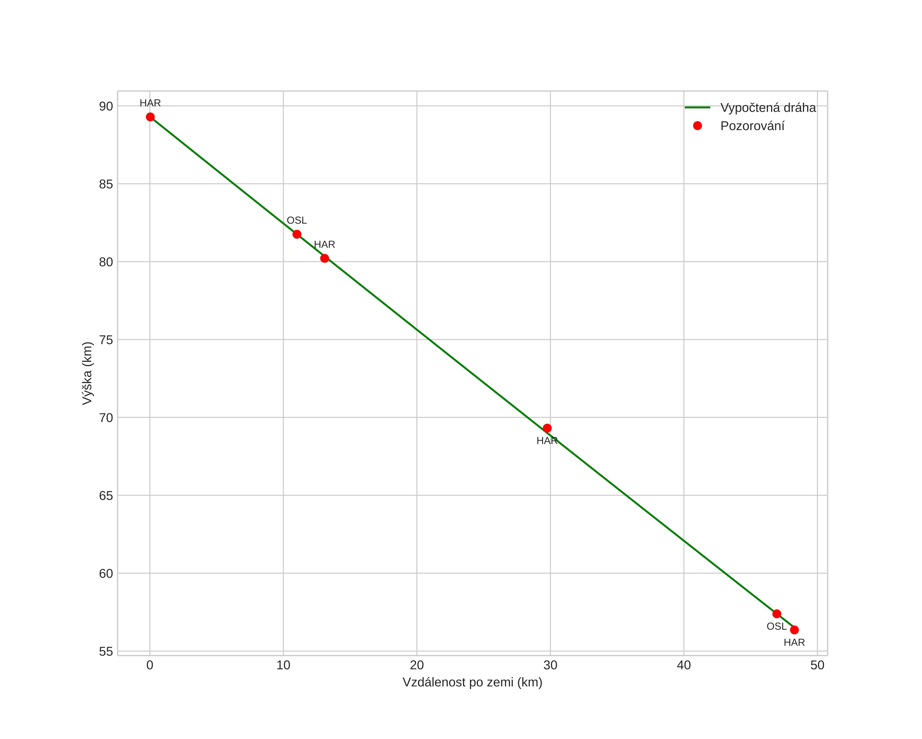
height profile
Atmosférická dráha meteoru:
Počáteční výška: 89,3 km
Konečná výška: 56,5 km
Počáteční poloha: 59,919N 11,048E
Konečná poloha: 60,080N 11,856E
Směr: 67,9°
Sklon: 34,2°
Vstupní rychlost: 23,9 km/s
Rektascenze radiantu: 06:04 (91,1°)
Deklinace radiantu: 15,9°
Meteorický roj: sporadický
Elementy dráhy meteoroidu:
Vzdálenost v periheliu: 0,597 AU
Excentricita: 0,725
Sklon dráhy: 5,2°
Délka vzestupného uzlu: 92,0°
Argument perihelia: 86,2°
Střední anomálie: 346,3°
Epocha: 2018 DEC 24 02:56:59
orbit

Neinteraktivní graf | Interaktivní graf

position vs time
speed & acceleration