🇳🇴 🇬🇧 🇩🇪 🇨🇿

Meteor over Spetalen 2018-12-24 02:56:59 UTC

The map shows the bearings for the meteor. The lighter lines show the directions from the observation sites at the meteor's appearance, and the darker lines show where it was last seen. The blue arrow indicates the visible path of the meteor.

map

Non-interactive map | KML file

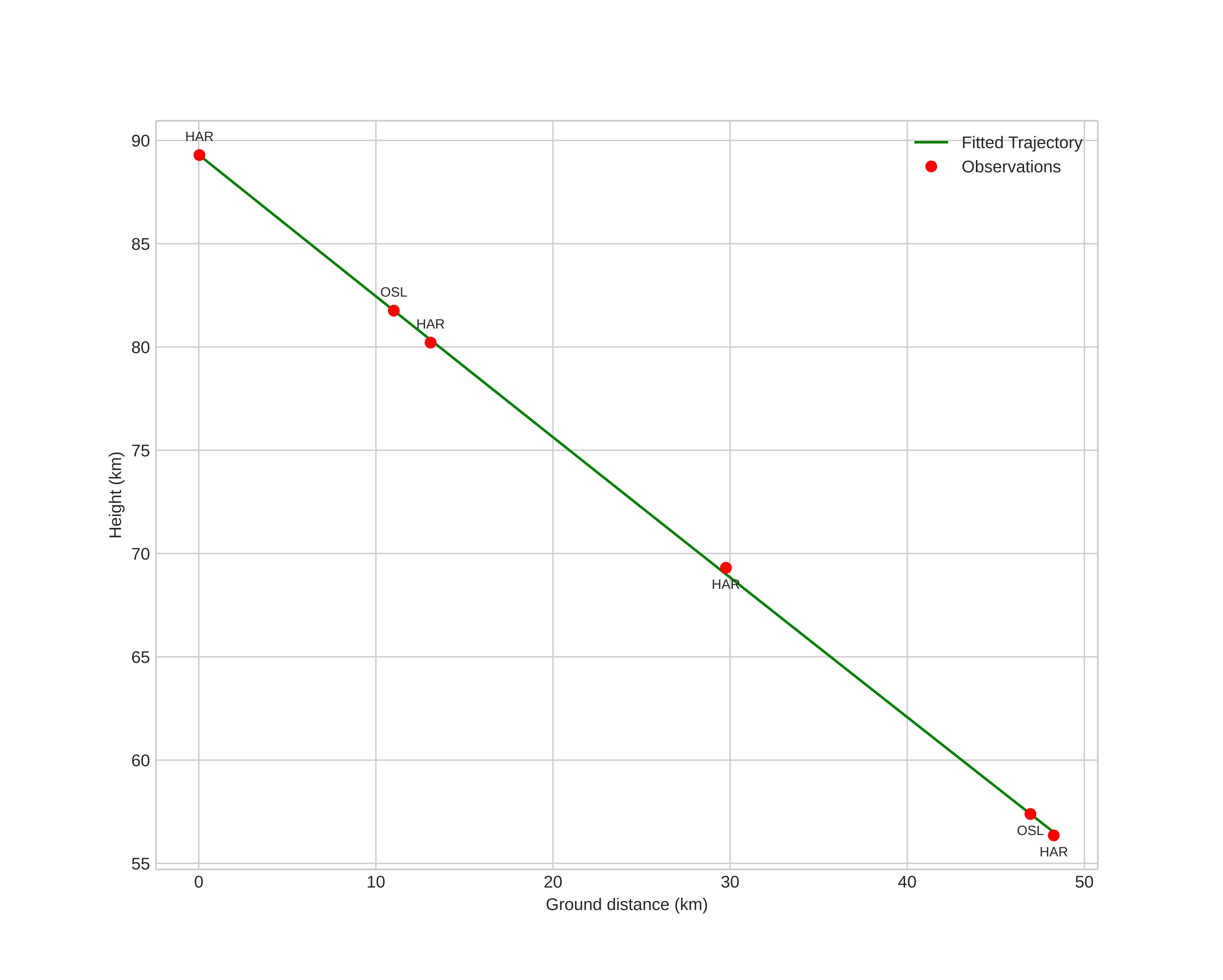
height profile
Meteor's Atmospheric Trajectory:
Start height: 89.3 km
End height: 56.5 km
Start position: 59.919N 11.048E
End position: 60.080N 11.856E
Direction: 67.9°
Inclination angle: 34.2°
Entry speed: 23.9 km/s
Radiant R.A.: 06:04 (91.1°)
Radiant Dec.: 15.9°
Meteor Shower: sporadic
Meteoroid's Orbital Elements:
Perihelion distance: 0.597 AU
Eccentricity: 0.725
Inclination: 5.2°
Long. of Asc. Node: 92.0°
Argument of Perihelion: 86.2°
Mean Anomaly: 346.3°
Epoch: 2018 DEC 24 02:56:59
orbit plot

Non-interactive plot

position vs time
speed and acceleration

Harestua (HAR) cam3


gnomonic
Videos
• Gnomonic
• Gnomonic with coordinates
• Original
• Original with coordinates
Images
• Gnomonic
• Gnomonic with coordinates
• Uncorrected gnomonic with coordinates
• Gnomonic with labels
• Uncorrected gnomonic with labels
• Original
• Original with coordinates
• Original with mask
Text Files
• Detection
• Observation
• Coordinates
• Error Messages

Harestua (HAR) cam4


gnomonic
Videos
• Gnomonic
• Gnomonic with coordinates
• Original
• Original with coordinates
Images
• Gnomonic
• Gnomonic with coordinates
• Uncorrected gnomonic with coordinates
• Gnomonic with labels
• Uncorrected gnomonic with labels
• Original
• Original with coordinates
• Original with mask
Text Files
• Detection
• Observation
• Coordinates
• Error Messages

Voksenlia (OSL) cam3


gnomonic
Videos
• Gnomonic
• Gnomonic with coordinates
• Original
• Original with coordinates
Images
• Gnomonic
• Gnomonic with coordinates
• Uncorrected gnomonic with coordinates
• Gnomonic with labels
• Uncorrected gnomonic with labels
• Original
• Original with coordinates
• Original with mask
Text Files
• Detection
• Observation
• Coordinates
• Error Messages