🇳🇴 🇬🇧 🇩🇪 🇨🇿 🇫🇮

Meteor über Spetalen 2018-12-24 02:56:59 UTC

Harestua – 3
Harestua – 3
Harestua – 4
Harestua – 4

KML-Datei  | Interaktive Karte

map

Die Karte zeigt die Peilungen für den Meteor. Die helleren Linien zeigen die Richtungen von den Beobachtungsorten beim Erscheinen des Meteors, und die dunkleren Linien, wo er zuletzt gesehen wurde. Der blaue Pfeil zeigt die sichtbare Bahn des Meteors.

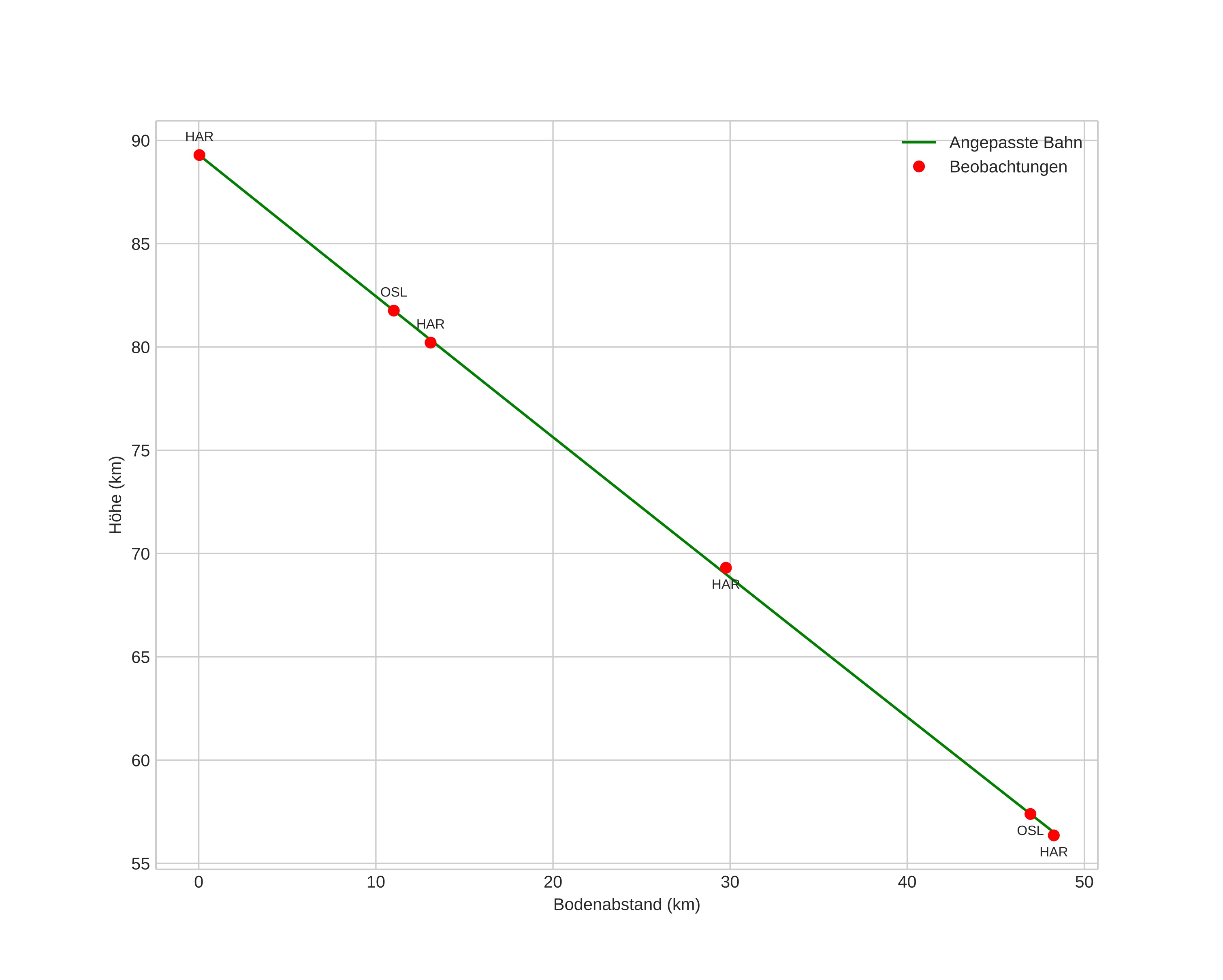
height profile
Atmosphärische Bahn des Meteors:
Anfangshöhe: 89,3 km
Endhöhe: 56,5 km
Startposition: 59,919N 11,048E
Endposition: 60,080N 11,856E
Richtung: 67,9°
Neigungswinkel: 34,2°
Eintrittsgeschwindigkeit: 23,9 km/s
Rektaszension des Radianten: 06:04 (91,1°)
Deklination des Radianten: 15,9°
Meteorstrom: sporadisch
Bahnelemente des Meteoroiden:
Periheldistanz: 0,597 AU
Exzentrizität: 0,725
Inklination: 5,2°
Länge des aufsteigenden Knotens: 92,0°
Argument des Perihels: 86,2°
Mittlere Anomalie: 346,3°
Epoche: 2018 DEC 24 02:56:59
orbit

Nicht-interaktives Diagramm | Interaktives Diagramm

position vs time
speed & acceleration