🇳🇴 🇬🇧 🇩🇪 🇨🇿 🇫🇮

Meteor, poloha: Bjørkelangen 2019-01-01 21:43:45 UTC

Soubor KML  |  InteraktivnĂ­ mapa

Mapa zobrazuje dráhy meteoru. Světlejší čáry ukazují směry od pozorovacích stanic při objevení se meteoru a tmavší čáry, kde byl naposledy viděn. Modrá šipka značí viditelnou dráhu meteoru.

static map
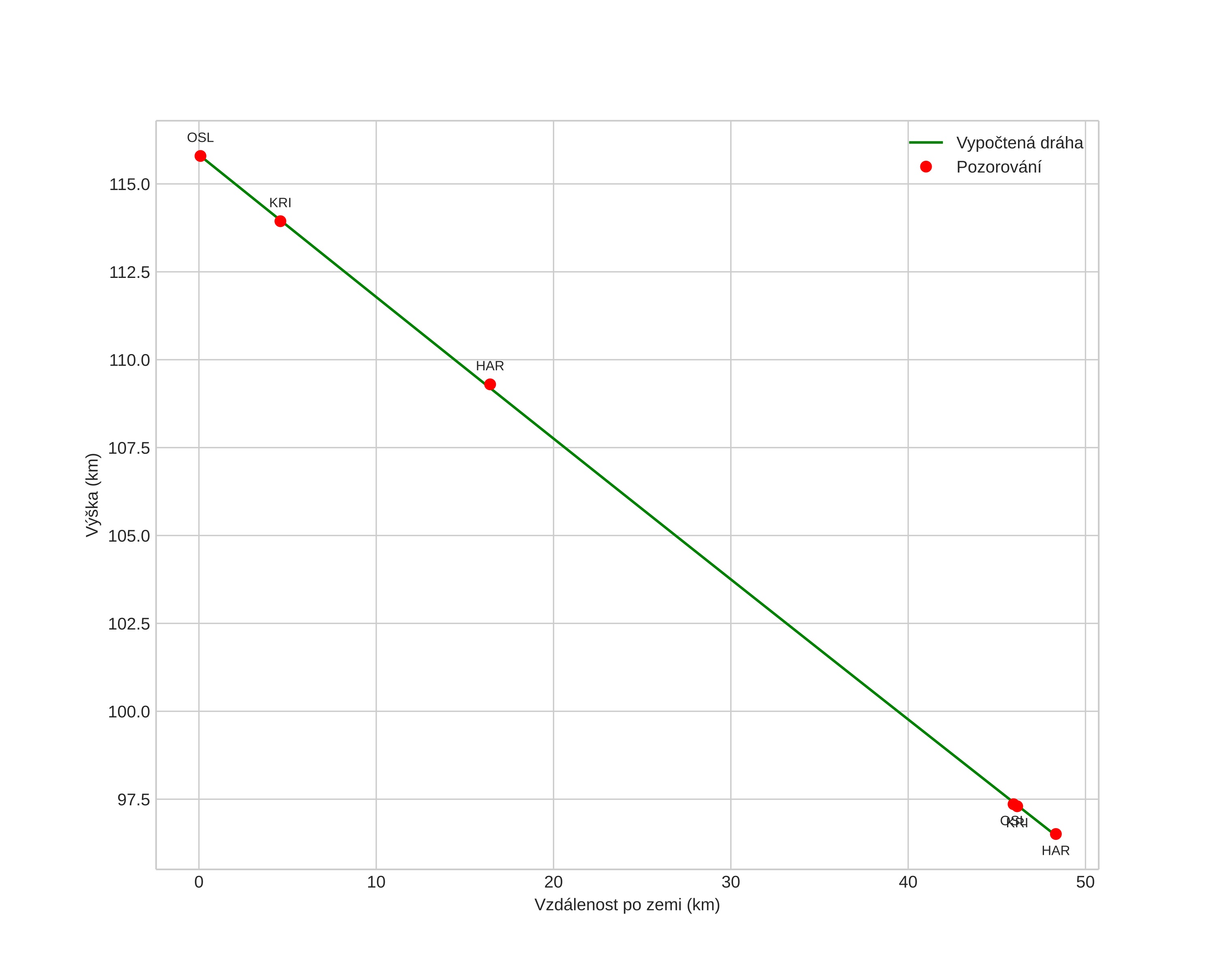
height profile
Atmosférická dráha meteoru:
Počáteční výška: 109,6 km
Konečná výška: 95,0 km
Počáteční poloha: 59,855N 12,105E
Konečná poloha: 59,771N 11,467E
Směr: 255,7°
Sklon: 21,6°
VstupnĂ­ rychlost: 64,3 km/s
Rektascenze radiantu: 11:20 (170,1°)
Deklinace radiantu: 25,4°
MeteorickĂ˝ roj: desember-leonis-minoridene
Elementy dráhy meteoroidu:
Vzdálenost v periheliu: 0,485 AU
Excentricita: 0,991
Sklon dráhy: 135,3°
Délka vzestupného uzlu: 280,9°
Argument perihelia: 271,0°
Střední anomálie: 359,9°
Epocha: 2019 JAN 01 21:43:45
orbit plot

NeinteraktivnĂ­ graf | InteraktivnĂ­ graf

position vs time
speed and acceleration