🇳🇴 🇬🇧 🇩🇪 🇨🇿 🇫🇮

Meteor über Bjørkelangen 2019-01-01 21:43:45 UTC

KML-Datei  |  Interaktive Karte

Die Karte zeigt die Peilungen für den Meteor. Die helleren Linien zeigen die Richtungen von den Beobachtungsorten beim Erscheinen des Meteors, und die dunkleren Linien, wo er zuletzt gesehen wurde. Der blaue Pfeil zeigt die sichtbare Bahn des Meteors.

static map
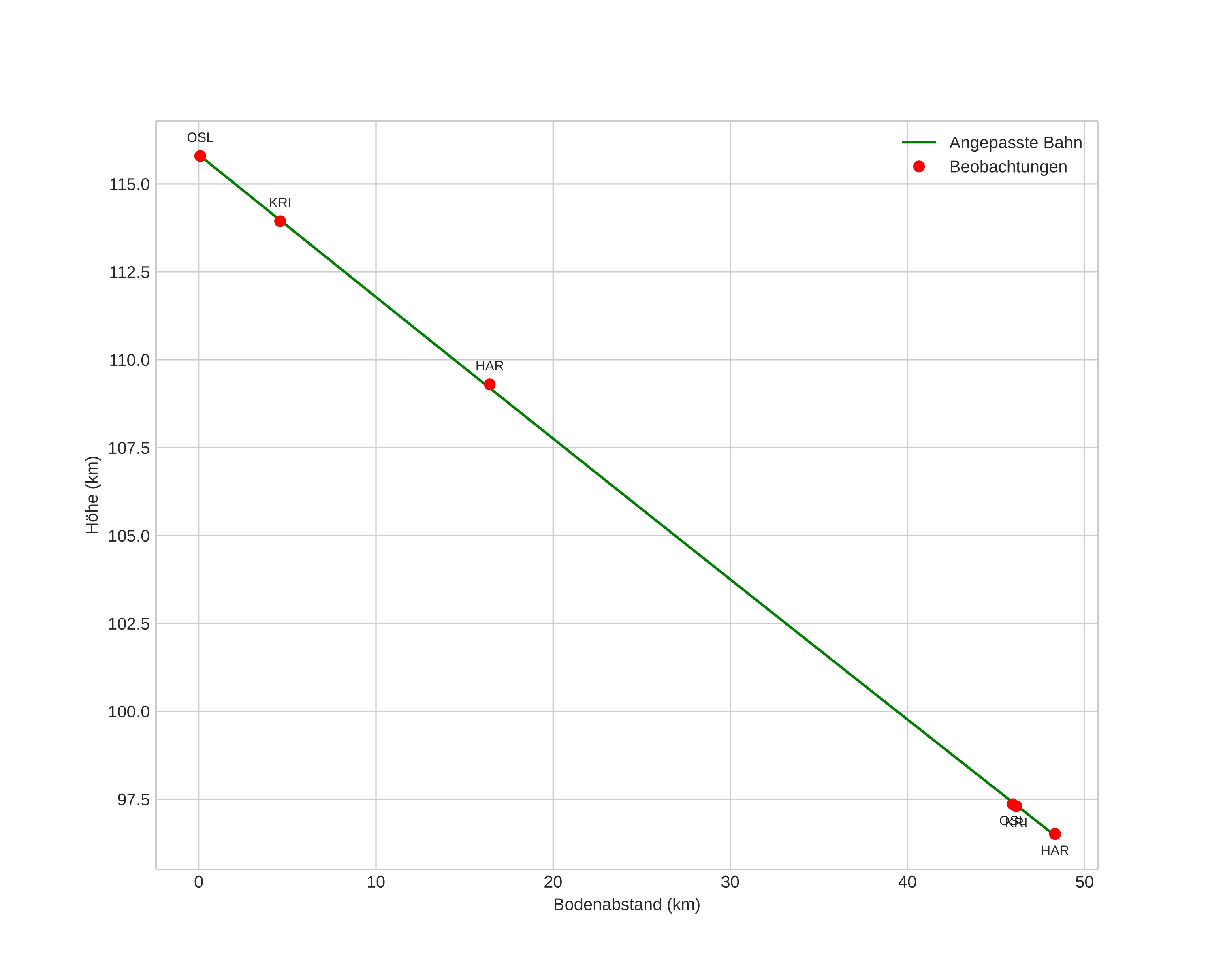
height profile
Atmosphärische Bahn des Meteors:
Anfangshöhe: 109,6 km
Endhöhe: 95,0 km
Startposition: 59,855N 12,105E
Endposition: 59,771N 11,467E
Richtung: 255,7°
Neigungswinkel: 21,6°
Eintrittsgeschwindigkeit: 64,3 km/s
Rektaszension des Radianten: 11:20 (170,1°)
Deklination des Radianten: 25,4°
Meteorstrom: desember-leonis-minoridene
Bahnelemente des Meteoroiden:
Periheldistanz: 0,485 AU
Exzentrizität: 0,991
Inklination: 135,3°
Länge des aufsteigenden Knotens: 280,9°
Argument des Perihels: 271,0°
Mittlere Anomalie: 359,9°
Epoche: 2019 JAN 01 21:43:45
orbit plot

Nicht-interaktives Diagramm | Interaktives Diagramm

position vs time
speed and acceleration